Tetróxido de ósmio
Óxido de ósmio (VIII)
| |||||||||||||||||||
|---|---|---|---|---|---|---|---|---|---|---|---|---|---|---|---|---|---|---|---|
![]() | |||||||||||||||||||
| Nomes | |||||||||||||||||||
| Nome IUPAC | Tetróxido de ósmio Óxido de ósmio (VIII) Ácido ósmico | ||||||||||||||||||
| |||||||||||||||||||
| |||||||||||||||||||
| |||||||||||||||||||
| |||||||||||||||||||
| Página de dados suplementares | |||||||||||||||||||
| Estrutura e propriedades | n, εr, etc. | ||||||||||||||||||
| Dados termodinâmicos | Phase behaviour Solid, liquid, gas | ||||||||||||||||||
| Dados espectrais | UV, IV, RMN, EM | ||||||||||||||||||
| Exceto onde denotado, os dados referem-se a materiais sob condições normais de temperatura e pressão. Referências e avisos gerais sobre esta caixa. Alerta sobre risco à saúde. | |||||||||||||||||||
Tetróxido de ósmio ou óxido de ósmio (VIII) é o composto químico com a fórmula OsO4. O composto é notável pelos seus muitos usos, apesar da raridade do ósmio. Também tem um número de interessantes propriedades, uma das quais é que é um sólido volátil.
Propriedades físicas

Tetróxido de ósmio existe como um sólido cristalino amarelo acastanhado pálido com um odor acre característico[3] similar ao ozônio. De fato, o nome do elemento ósmio é dervivado de osme, palavra grega para odor. OsO4 é volátil: ele sublima-se a temperatura ambiente. É solúvel em uma grande número de solventes orgãnicos, e moderadamente solúvel em água, com a qual reage reversivelmente para formar ácido ósmico (veja abaixo).[4] Tetróxido de ósmio puro é provavelmente incolor[5] e tem sido sugerido que sua tonalidade amarela é devida a impurezas de dióxido de ósmio (OsO2)[6] embora óxido de ósmio (IV) normalmente exista como um pó preto[7] assim isto parece improvável.
Estrutura e configuração eletrônica

Com uma configuração d0, se espera que Os(VIII) forme complexos tetraédricos quando ligado a quatro ligantes. Estruturas tetraédricas são vistas para os óxidos eletronicamente relacionados MnO4− e CrO42−.
O átomo de ósmio do OsO4 tem um estado de oxidação formal de 8+, o mais alto estado de oxidação conhecido para um metal de transição. O átomo de ósmio tem oito elétrons de valência. Se assumimos que dois elétrons são doados po cada um dos quatro ligantes óxido, o total de elétrons doados para o complexo é 16, como também visto para as espécies isoelétricas permanganato e cromato.
Síntese
OsO4 é formado lentamente quando ósmio em pó reage com O2 a 298 K (25 °C). Reação de quantidades industriais e viáveis de serem produzidas no tempo requerem aquecimento a 670 K (aprox. 943 a 950 °C).[8]
- Os + 2 O2 → OsO4
Reações
Oxofluoretos
O ósmio forma diversos oxofluoretos, todos os quais são muito sensíveis à umidade. O cis-OsO2F4 púrpura forma-se a 77 K em uma solução anidra em HF:[9]
- OsO4 + 2 KrF2 → cis-OsO2F4 + 2 Kr + O2
OsO4 também reage com F2 para formar o OsO3F2 amarelo:[10]
- 2 OsO4 + 2 F2 → 2 OsO3F2 + O2
OsO4 reage com um equivalente de [Me4N]F a 298 K e 2 equivalentes a 253 K:[8]
- OsO4 + [Me4N]F → [Me4N][OsO4F]
- OsO4 + 2 [Me4N]F → [Me4N]2[cis-OsO4F2]
Oxidação de alquenos
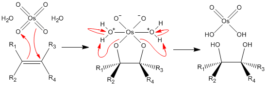
OsO4 catalisa a cis-di-hidroxilação de alquenos por peróxido de hidrogênio ou fontes relacionadas de átomos de oxigênio na presença de água. A reação que é catalisada é[11]
- R2C=CR2 + H2O2 → R2C(OH)-C(OH)R2.
Em termos de mecanismo, OsVIIIO4 adiciona-se a alquenos R2C=CR2 proporcionando a formação de "ésteres" cíclicos R4C2O2OsVIO2, os quais sofrem hidrólise resultando o diol vicinal e liberando um óxido de ósmio reduzido OsVI):
Bases de Lewis tais como aminas terciárias e piridinas aumentam a taxa de reação. Esta "aceleração ligante" surge através da formação do aduto OsO4L, o qual adiciona-se mais rapidamente ao alqueno. Se a amina é quiral, então a di-hidrogenação pode ocorrer com enantioseletividade (ver Di-hidroxilação assimétrica de Sharpless).[11]
OsO4 é usado em quantidades catalíticas devido a sua toxicidade e alto custo. O ósmio catalisador é regenerado por agentes oxidantes, tais como H2O2, N-óxido de N-metilmorfolina (NMO, ver di-hidrogenação de Upjohn), e K3Fe(CN)6. Estes reagentes oxidantes não reagem com os alcenos por conta própria. Outras fontes de tetróxido de ósmio incluem osmato de potássio (VI) di-hidrato (K2OsO4·2H2O) e cloreto de ósmio (III) hidrato (OsCl3·xH2O) o qual oxida-se a ósmio (VIII) na presença de tais oxidantes.[12]
Reações diversas
OsO4 não reagem com a maioria dos carboidratos.[13] Dissolve-se em solução aquosa alcalina resultando o ânion osmato OsO2(OH)42-.[14] OsO4 é um ácido de Lewis, e então as bases de Lewis são aminase, os óxidos podem sofrer substituição. Então com NH3 obtém-se o nitreto-óxido:
- OsO4 + NH3 + KOH → K[Os(N)O3] + 2 H2O
O ânion [Os(N)O3]- é isoeletrônico e isoestrutural com OsO4. Usando amina primária tert-BuNH2 obtem-se o derivado imida correspondente:
- OsO4 + 4 Me3CNH2 → Os(NCMe3)4 + 4 H2O
OsO4 é muito solúvel em terc-butanol e em solução é rapidamente reduzido por hidrogênio molecular ao metal ósmio. O metal ósmio em suspensão pode ser usado para catalisar a hidrogenação de uma grande variedade de compostos químicos orgânicos contendo ligações duplas ou triplas.
- OsO4 + 4 H2 (g) → Os (s) + 4 H2O
OsO4 sofre "carbonilação redutiva" com monóxido de carbono em metanol a 400 K e 200 bar de pressão produzindo o cluster triangular Os3(CO)12:
- 3 OsO4 + 24 CO → Os3(CO)12 + 12 CO2[8]
Nesta reação o ósmio altera seus estado de oxidação em oito unidades.
Usos
Síntese orgânica
Em síntese orgânica OsO4 é usado largamente para oxidar alcenos aos dióis-1,2, que também podem ser chamados de glicóis, dióis vicinais, adicionando dois grupos hidroxilo ao mesmo lado, a face sin (adição sin). A reação ocorre com a complexação do tetróxido de ósmio com alcenos e é regeoseletiva. Ver reação e mecanismo acima. Esta reação tem sido feita tanto de forma catalítica (di-hidrogenação de Upjohn) quanto assimetricamente (di-hidroxilação assimétrica de Sharpless).
Tetróxido de ósmio é também usado em quantidades catalíticas na oxiaminação de Sharpless resultando em aminoálcoois vicinais.
Em combinação com periodato de sódio, OsO4 é usado para a clivagem oxidativa de alcenos (oxidação de Lemieux-Johnson) quando o periodato serve tanto para a clivar o diol formado por di-hidroxilação, quanto para reduzir o OsO3 novamente a OsO4. A transformação líquida (em balanço) é idêncica àquela produzida por ozonólise. Abaixo segue um exemplo da síntese total de isosteviol.[15]
Coloração biológica
OsO4 é um agente colorante largamente usado em microscopia eletrônica de transmissão (MET) para fornecer contraste à imagem.[16] Como um corante de lipídios, é também útil em microscopia eletrônica de varredura (MEV) como uma alternativa ao revestimento por pulverização catódica (sputter coating). O OsO4 embebe um metal pesado diretamente nas membranas celulares, criando uma alta emissão secundária de elétrons sem a necessidade de revestir a membrana com uma camada de metal, a qual pode obscurecer detalhes da membrana celular. Na coloração da membrana plasmática, o tetróxido de ósmio liga-se a regiões chave de fosfolipídios, criando contraste com o protoplasma (citoplasma) das vizinhanças. Adicionalmente, tetróxido de ósmio é também usado para fixar amostras biológicas em conjunto com o HgCl2. Suas rápidas habilidade de matar material vivo (fixadas, no jargão da microscopia aplicada à biologia) são usadas para matar rapidamente espécimes como protozoários. OsO4 estabiliza muitas proteínas por transformá-las em géis sem destruir caracetrísticas estruturais. Proteínas de tecidos que são estabilizadas por OsO4 não são coaguladas por álcoois durante a desidratação.[13] Tetróxido de ósmio é também usado como um corante para lipídios em microscopia óptica.[17] OsO4 também colore a córnea humana (ver considerações de segurança).
Coloração de polímeros
É também usado para colorir copolímeros preferencialmente, sendo o exemplo mais conhecido os blocos de copolímeros onde uma fase pode ser colorida para mostrar a microestrutura do material. Por exemplo, blocos de copolímeros estireno-butadieno tem uma cadeia polibutadieno central com terminações de poliestireno. Quando tratada com OsO4, a matriz de butadieno reage preferencialmente e então absorve o óxido. A presença de metal pesado é suficiente para bloquear o feixe de elétrons, então os domínios de poliestireno são vistos claramente em filmes finos em TEM.[18]
Osmeth
OsO4 pode ser reciclado e armazenado na forma de osmeth, um sólido cristalino dourado. Osmeth é OsO4 complexado com hexamina e não emite fumos tóxicos em oposição ao OsO4 puro. Pode ser dissolvido em tetraidrofurano (THF) e diluído em uma solução tampão aquosa para fazer um solução de trabalho diluída (0,25%) de OsO4.[19]
Refino de minério de ósmio
OsO4 é um intermediário no refino de minério de ósmio. Resíduos de ósmio são reagidos com Na2O2 formando ânions [OsO4(OH)2]2-, os quais, quando reagem com gás cloro (Cl2) aquecido, forma OsO4. O óxido é dissolvido em NaOH em solução alcoólica formando ânions [OsO2(OH)4]2-, os quais, quando reagem com NH4Cl, formam OsO2Cl2(NH4)4. Este sofre igniçao sob gás hidrogênio (H2) deixando para trás o ósmio puro (Os).[4]
Aduto de buckminsterfulereno
OsO4 permitiu a confirmação do modelo "bola de futebol" do buckminsterfulereno, um alótropo de 60 átomos de carbono. O aduto, formado de um derivado de OsO4, foi C60(OsO4)(4-terc-butilpiridina)2. O aduto quebrou a simetria do fulereno permitindo a cristalização e confirmação da estrutura de C60 por cristalografia de raios X.[20]
Considerações de segurança
OsO4 é altamente venenoso, mesmo em níveis baixos de exposição, e deve ser manipulado com as precauções adequadas. Na inspiração, especialmente em concentrações muito inferiores àqueles a que um cheiro pode ser percebido pode levar a edema pulmonar, e subsequente morte. Sintomas noticiáveis podem tomar horas para aparecer após a exosição. OsO4 também colore a córnea humana, o que pode levar à cegueira se precauções de segurança não forem observadas. O limite de exposição permissível para o tetróxido de ósmio (8 horas de tempo ponderado médio) é 0,002 mg/m3.[21] Tetróxido de ósmio pode penetrar plásticos e, portanto, é armazenado em vidro em um lugar fresco.[13]
Referências
- Cotton, S. A. "Chemistry of Precious Metals," Chapman and Hall (London): 1997. ISBN 0-7514-0413-6.
- D. J. Berrisford, C. Bolm and K. B. Sharpless (1995). «Ligand-Accelerated Catalysis». Angewandte Chemie International Edition in English. 34 (10): 1059-1070. doi:10.1002/anie.199510591
- ↑ a b c d e «Sicherheitsdatenblatt (Merck)» (PDF)
- ↑ Thieme Chemistry, ed. (2009). RÖMPP Online - Version 3.5. Stuttgart: Georg Thieme Verlag KG
- ↑ «NIH safety sheet» (PDF)
- ↑ a b Mike Thompson. «Osmium tetroxide (OSO4)». Bristol University. Consultado em 24 de agosto de 2007
- ↑ Butler and Harrod, Inorganic Chemistry: Principles and Applications, p.343
- ↑ Cotton and Wilkinson, Advanced Inorganic Chemistry, p.1002
- ↑ «AlfarAesar MSDS» (PDF)
- ↑ a b c Catherine E. Housecroft, Alan Sharpe (2005). Inorganic Chemistry 2nd ed. [S.l.: s.n.] pp. 671–673, 710
- ↑ K. O. Christe, D. A. Dixon, H. G. Mack, H. Oberhammer, A. Pagelot, J. C. P. Sanders and G. J. Schrobilgen (1993). «Osmium tetrafluoride dioxide, cis-OsO2F4». J. Am. Chem. Soc. 115 (24): 11279–11284. doi:10.1021/ja00077a029
- ↑ Cotton, S. A. (1997). Chemistry of Precious Metals. London: Chapman and Hall. ISBN 0-7514-0413-6
- ↑ a b D. J. Berrisford, C. Bolm and K. B. Sharpless (1995). «Ligand-Accelerated Catalysis». Angewandte Chemie International Edition in English. 34 (10): 1059–1070. doi:10.1002/anie.199510591
- ↑ Yasukazu Ogino, Hou Chen, Hoi-Lun Kwong and K. Barry Sharpless (1991). «On the timing of hydrolysis / reoxidation in the osmium-catalyzed asymmetric dihydroxylation of olefins using potassium ferricyanide as the reoxidant». Tetrahedron Letters. 32 (32). 3965 páginas. doi:10.1016/0040-4039(91)80601-2
- ↑ a b c M. A. Hayat (2000). Principles and techniques of electron microscopy: biological applications. [S.l.]: Cambridge University Press. pp. 45–61. ISBN 0521632870
- ↑ Thomas R. Dulski A manual for the chemical analysis of metals, ASTM International, 1996, ISBN 0803120664 p. 130
- ↑ B. B. Snider, J. Y. Kiselgof and B. M. Foxman (1998). «Total Syntheses of (±)-Isosteviol and (±)-Beyer-15-ene-3β,19-diol by Manganese(III)-Based Oxidative Quadruple Free-Radical Cyclization». J. Org. Chem. 63 (22): 7945–7952. doi:10.1021/jo981238x
- ↑ Bozzola, John J.; Russell, Lonnie D. (1999). «Specimen Preparation for Transmission Electron Microscopy». Electron microscopy : principles and techniques for biologists. Sudbury, Mass.: Jones and Bartlett. pp. 21–31. ISBN 9780763701925
- ↑ F. Di Scipio; et al. (2008). «A simple protocol for paraffin-embedded myelin sheath staining with osmium tetroxide for light microscope observation». Microscopy Research and Technique. 71 (7): 497. PMID 18320578. doi:10.1002/jemt.20577
- ↑ Jongseung Yoon, Robert T. Mathers, Geoffrey W. Coates, and Edwin L. Thomas; Optically Transparent and High Molecular Weight Polyolefin Block Copolymers toward Self-Assembled Photonic Band Gap Materials; Macromolecules, 2006, 39 (5), pp 1913–1919; DOI: 10.1021/ma0516642
- ↑ Kiernan, J.A. Department of Anatomy & Cell Biology, The Universidade de Western Ontario. [1]
- ↑ J. M. Hawkins, A. Meyer, T. A. Lewis, S. Loren and F. J. Hollander (1991). «Crystal Structure of Osmylated C60: Confirmation of the Soccer Ball Framework». Science. 252 (5003): 312–313. PMID 17769278. doi:10.1126/science.252.5003.312
- ↑ «Documentation for Immediately Dangerous to Life or Health Concentrations (IDLHs)». Centers for Disease Control. Consultado em 25 de outubro de 2010


