Reações radicalares
Reações de Substituição via radicais Livres
Halogenação
Os alcanos reagem com halogênios mediante mecanismos radicalares. Nesta reação supõe-se que um ou vários hidrogênios do alcano sejam substituídos por halogênios. O mecanismo da halogenação radicalar ocorre por três etapas: iniciação,propagação e terminação. Na iniciação, a molécula do halogênio se rompe de forma homolítica gerando radicais. Na etapa de propagação ocorre a substituição do hidrogênio do alcano por halogênio. Quando os reagentes estão completamente consumidos ou quando já não há excesso do alcano a ser halogenado, os radicais existentes no meio reacional começam a unir-se entre si promovendo a etapa de finalização.[1][2][3]

A primeira etapa de propagação é a que determina a velocidade da reação. Ao se comparar a entalpia envolvida nas etapas de propagação, para os diferentes halogênios, observa-se uma grande diferença entre eles. Na tabela a seguir são mostradas as energias liberadas nas etapas de propagação para a halogenação do metano. Podemos observar que a ordem de reatividade na halogenação radicalar se dá por: F2>Cl2>Br2>>I2. Para o flúor esta etapa é a de mais baixa energia de ativação, fazendo com que o flúor seja o halogênio mais reativo, apresentando reações violentas e extremamente exotérmicas (99Kcal/mol), ao ponto de que a fluoração somente ocorre em condições controladas. Por outro lado, a reação de propagação para o iodo é endotérmica (12,9 Kcal/mol), de modo que reação em cadeia não consegue prosseguir.[1][3]

As halogenações radicalares de bromo e cloro com hidrocarbonetos são moderadamente exotérmicas e são possíveis de ocorrer. Com o cloro radicalar a abstração de hidrogênio primário, secundário e terciário são exotérmicas para todos, de modo que, há pouca seletividade na abstração de um hidrogênio secundário ou terciário. A estabilidade do produto radicalar é menos importante para o cloro devido a reação ser muito exotérmica, em comparação ao bromo, não influenciando na energia de ativação.[1]

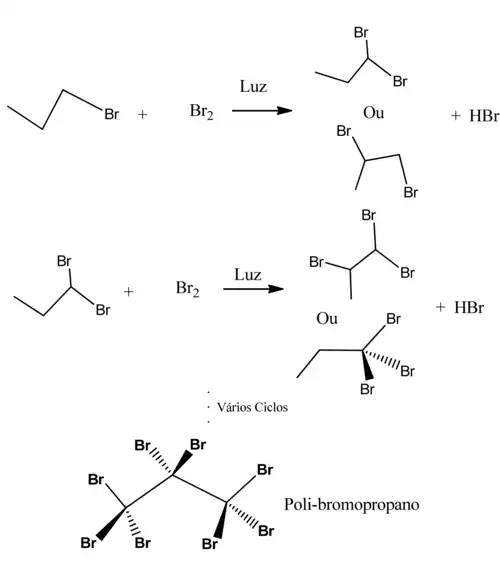
A diferença da entalpia requerida para abstrair um tipo de hidrogênio pelo radical bromo reflete na Ea e há uma substancial preferência na abstração do hidrogênio terciário em relação ao secundário e, na sequência, primário. Deste modo, a halogenação por bromo é um importante método de funcionalização seletiva de hidrocarbonetos via radical livre. Na halogenação radicalar do etano, todos os seis hidrogênios são equivalentes dando somente um possível produto, o bromoetano. No entanto, para o propano há a possibilidade de ocorrer dois diferentes tipos produtos: 1-bromopropano e o 2-bromopropano.

Quanto mais reativo o halogênio, menos se distingue os hidrogênios primários, secundários e terciários. A seguir mostra-se a velocidade relativa de substituição por halogênio radicalar: F (1:1,2:1,4), Cl (1:4:5), Br (1:250:6300). O primeiro número indica a velocidade com que se substitui um hidrogênio primário pelo halogênio correspondente.O segundo valor nos indica a velocidade de substituição de um hidrogênio secundário por halogênio. O terceiro valor se aplica a hidrogênios terciários. No caso do flúor, ocorre a halogenação quase que tudo por igual devido sua alta reatividade. Ao contrário do bromo, que por ser pouco reativo, busca os hidrogênios mais fáceis de serem arrancados.[1]
Na reação do propano, o 2-bromopropano é o produto majoritário da reação, pois a velocidade de abstração do hidrogênio secundário é maior que o primário, devido a menor barreira energética existente na remoção do hidrogênio secundário. A 150 °C o rendimento relativo ao 1-bromo-propano é de 8% dos produtos monobromados, enquanto que 2-bromopropano tem um rendimento relativo de 92%. Na reação de bromo radicalar em cadeia, o propano pode sofre mais de uma halogenação. Isso porque nos produtos formados 1-bromopropano e o 2-bromopropano, os 5 hidrogênios remanescentes são tão reativos quanto aqueles do propano. A consequência disso é que a bromação de bromopropano também pode ocorrer gerando dibromopropanos, que por sua vez, também podem gerar tribromopropanos ou até mesmo a substituição de todos os hidrogênios por bromo.[2]
Como não se pode prevenir a formação de alcanos poli-halogenados, o que se faz é minimizar a formação deles usando um grande excesso do reagente alcano em comparação ao Br2.[2]

Reações de finalização
Uma vez que existem muitos radicais presentes, ao mesmo tempo, formados no início ou em reações de propagação, por vezes, reagem uns com os outros em vez de reagir nos passos da propagação radicalar. Estas reações entre dois radicais levam a combinação ou a reações que desproporcionamento, que chamaremos, coletivamente, reações de terminação.[3]

Se dois radicais Br• encontra um ao outro eles podem combinar-se para formar Br2. Da mesma forma, se um Br• encontra um CH3CH2CH2• podem também se combinar. Finalmente,dois radicais propílicos (CH3CH2CH2•), por vezes, encontrar um ao outro, se combinam para dar hexano.[1]

Além dos radicais poderem se combinar, eles podem abstrair o hidrogênio de outro radical formando um alqueno, se um radical propril for desproporcionado por um radical bromo, ou ainda, um alqueno e um alcano, se um radical propil desproporciona outro radical propil ].[1][2]
Adição de radicais livres de haletos de hidrogênio a alcenos
Similarmente ao que ocorre com as reações de substituição por halogênios, envolvendo radicais livres, as relações termoquímicas também estabelecem limites para as reações de adição envolvendo radicais livres dos hidrácidos de halogênios. Reações de adição envolvendo radicais em alcenos não são observadas para o ácido fluorídrico (HF) e para o ácido iodídrico (HI). Na situação do HI, a adição de um átomo de iodo a um alceno é um processo endotérmico e é demasiadamente lenta para permitir uma reação em cadeia, embora a etapa de abstração de hidrogênio seja favorável. No caso de HF, a abstração de hidrogênio a partir de HF é energeticamente proibida. Apenas no caso do ácido bromídrico (HBr), ocorre uma termoquímica consistente para um processo em cadeia de radicais. No caso do ácido clorídrico (HCl), raramente ele reage pelo mecanismo de radical livre como o HBr, já que o segundo passo da reação é relativamente lento, dessa forma, a polimerização compete com a adição de haletos de hidrogênio.[1]
As forças das ligações de H—X para o H—Cl (432 kJ/mol) e para o H—F (570 kJ/mol) são muito maiores do que a de H—Br (366 kJ/mol). Como resultado, a abstração de hidrogênio por um radical de carbono a partir de qualquer H—F ou H—Cl é muito endotérmico (requer muita energia) para sustentar uma reação em cadeia eficiente. A força de ligação H—I (298 kJ/mol) é relativamente baixa, no entanto, o radical que se forma quando I• é adicionado a um C=C é demasiadamente instável para manter a reação em cadeia. Ao invés de captar um H do H—I, o radical intermediário formado por adição de I• ao alceno mais frequentemente reversível perde I• para regenerar o alceno.[1]
Adição de radicais livres de brometo de hidrogênio a alcenos
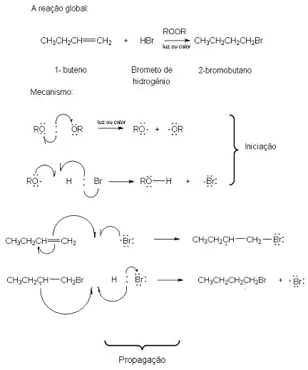
Durante muito tempo, a regiosseletividade da adição de HBr para os alcenos era imprevisível. Às vezes, a adição ocorria de acordo com a regra de Markovnikov, mas em outros momentos, aparentemente sob as mesmas condições, ocorria o oposto à regra de Markovnikov. Em 1929, Morris S. Kharasch e seus alunos da Universidade de Chicago começaram uma investigação sistemática desse enigma. Depois de centenas de experiências, Kharasch concluíram que ocorreu adição oposta à regra de Markovnikov quando peróxidos, isto é, compostos orgânicos ROOR, estavam presentes na mistura de reação.[4]
Kharasch e seus colegas descobriram, por exemplo, que 1-buteno cuidadosamente purificado reagiu com brometo de hidrogênio para dar apenas 2-bromobutano - o produto esperado com base na regra de Markovnikov.[4]Por outro lado, quando a mesma reação foi efetuada na presença de um peróxido adicionado, somente 1-bromobutano foi formado.

A adição oposta à regra de Markovnikov é às vezes chamada de "adição anti-Markovnikov”. Kharasch chamou este efeito de efeito-peróxido e demonstrou que pode ocorrer mesmo se os peróxidos não forem deliberadamente adicionados à mistura de reação. A não ser que os alcenos estejam protegidos a partir de oxigênio atmosférico, eles tornam-se contaminados com pequenas quantidades de hidroperóxidos de alquila, os compostos do tipo ROOH. Estes hidroperóxidos alquílicos agem da mesma forma como peróxidos deliberadamente adicionados a reação, promovendo a adição no sentido contrário ao previsto pela regra de Markovnikov.[4] Kharasch propôs que o brometo de hidrogênio, pode adicionar a alcenos por dois mecanismos diferentes, ambas regioespecíficas. O primeiro mecanismo é adição eletrofílica e segue a regra de Markovnikov. O segundo mecanismo é a seguida quando a adição ocorre oposta à regra de Markovnikov. Este mecanismo é uma reação em cadeia envolvendo intermediários de radicais livres. Esta reação é demonstrada no mecanismo abaixo.[4]

Peróxidos são iniciadores, não são incorporados no produto, mas atuam como uma fonte de radicais necessários para obter a reação em cadeia iniciada. A ligação oxigênio - oxigênio de um peróxido é relativamente fraca , e a adição de radicais livres de brometo de hidrogênio para alcenos começa quando uma molécula de peróxido se rompe, dando dois radicais alcoxi. Um átomo de bromo é gerado no passo 2, quando um desses radicais alcoxi abstrai um átomo de hidrogênio a partir de brometo de hidrogênio. Uma vez que um átomo de bromo se torna disponível, a fase de propagação da reação em cadeia é iniciada. Na fase de propagação, um átomo de bromo é adicionado ao alceno na direção que produz o radical alquila mais estável.[1]
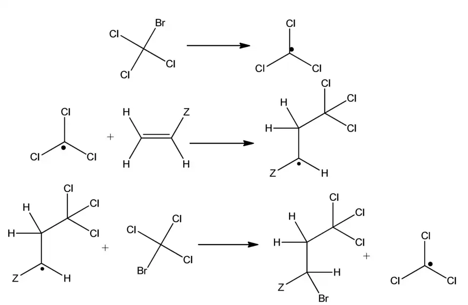
Adição de radicais livres de halometanos a alcenos
A adição de radicais livres de halometanos a alcenos é um processo em cadeia que depende de fácil abstração de halogênio ou de hidrogênio do halometano. Segue o exemplo de adição do tetrabromometano.[5]
A ordem de reatividade dos halometanos é CBr4> CBrCl3> CCl4> CH2Cl2> CHCl3. A eficiência da razão 1:1 de adição para um dado alceno tambémd epende da facilidade com a qual ele é submetido a polimerização em cadeia de radicais, uma vez que a polimerização pode competir com o passo de captação do átomo de halogênio no mecanismo. A polimerização é geralmente mais rápida para alcenos terminais, estabilizando substituintes como, por exemplo, um grupo fenil ou éster.
A adição de ciclohexeno com bromotriclorometano dá uma mistura quase 1:1 dos dois estereoisómeros possíveis.[6]
Este resultado indica que o grupo de triclorometil inicialmente adicionado tem pouca influência sobre a estereoquímica do átomo de bromo subsequente a abstração. O intermediário radical 2-(triclorometil)ciclohexil presumivelmente relaxa para a conformação equatorial mais rápida do que a ocorrência da abstração de um átomo de bromo, e há pouca preferência por posições axiais ou equatoriais. Em contraste, com ∆2,3-octahidronaftaleno, a adição é exclusivamente trans-diaxial.[1]

A adição de tióis e ácidos tiocarboxílicos
A adição de compostos de S-H a alcenos por um mecanismo em cadeia de radicais é uma reação bastante geral e eficiente. O mecanismo é análogo à adição de brometo de hidrogênio. A energética, tanto da abstração de hidrogênio, quanto para as etapas de adição, são favoráveis. A reação apresenta regiosseletividade anti-Markovnikov.[1]

A estereoquímica preferida da adição a alcenos cíclicos é anti, mas essas adições não são tão altamente estereosseletiva como a adição de brometo de hidrogênio.
Substituição nucleofílica via mecanismo radicalar (SRN1)
O mecanismo SRN1 pode ser descrito como substituição nucleofílica via radical monomolecular, em que este advém da decomposição unimolecular de um ânion radicalar, a partir do reagente. Há dois tipos de reações que têm sido desenvolvidas de modo que venha ser uma boa ferramenta para a compreensão mecanicista e utilidade em síntese.[1] O padrão mecanicista comum de SRN1 envolve a transferência de elétrons para o reagente que gera um ânion radical que, em seguida, expele o grupo de saída. A reação em cadeia ocorre se o radical, gerado pela expulsão do grupo de saída, é capaz de reagir com o nucleófilo e gerar um ânion radical capaz de sustentar uma reação em cadeia.[1][2]

O ponto principal para a eficiência de uma reação SRN1 é a transferência de elétrons para o reagente alquilante. Este processo pode ocorrer passo a passo, se o ânion radical formado é suficientemente estável, mas também, pode ocorrer de forma concertada. O caminho concertado é o mais provável para haletos de alquila. A reação combinada de radical e nucleófilo é bastante rápida.

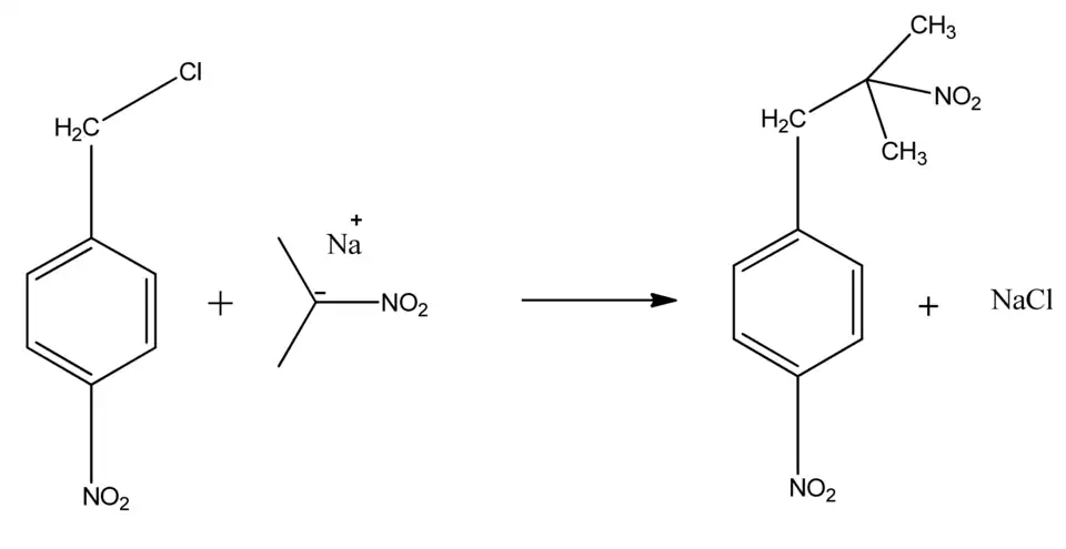
A reação SRN1 foi descoberta por acaso, quando foi observada uma anomalia estranha na alquilação de compostos nitro – alifáticos por haletos de alquila. Em 1949, Hass et al. realizavam uma alquilação de rotina do 2-nitropropano com cloreto de 4-nitrobenzilo. O produto principal foi o composto C-alquilados.[1]

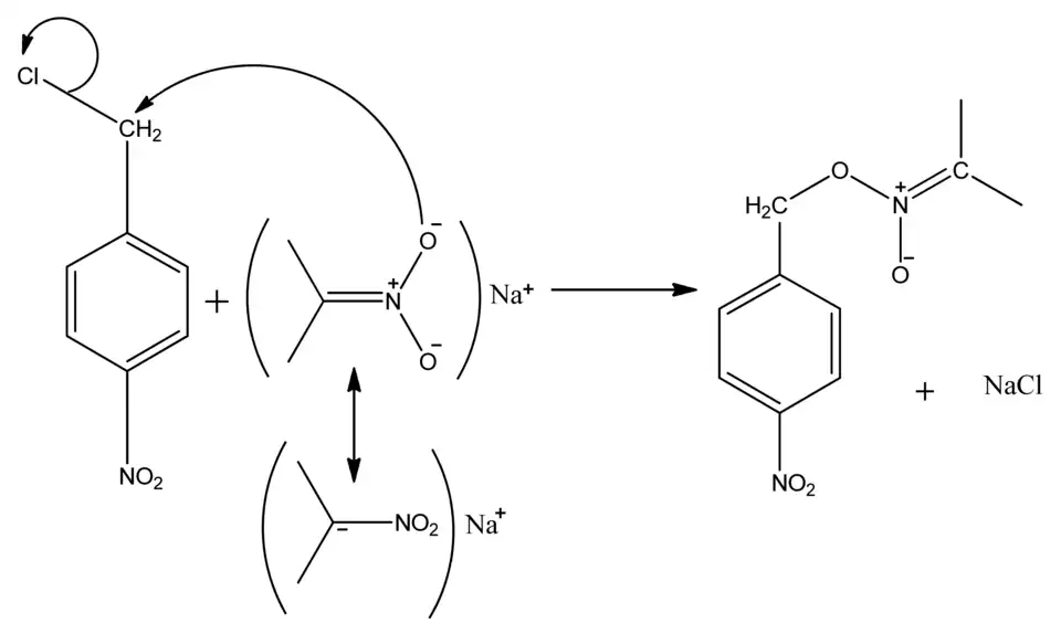
Mais estudos mostraram que sua formação passou por um mecanismo de primeira ordem.[7] Isso levou a comunidade científica a acreditar que havia um novo mecanismo envolvido nesta reação. Esta suspeita baseia-se no seguinte raciocínio. Se uma simples rota via SN2 estava envolvida, a reação seria então de segunda ordem e prosseguiria com um ataque do ânion oxigênio fortemente nucleofílico do 2-nitropropeno no carbono benzílico. Este ataque seria acompanhado pela saída do ânion halogênio e formação do produto. Esta via conduz à formação do composto O–alquilado.[1]

A forma de ressonância em que a carga negativa está sobre o carbono secundário, também pode ocorrer via o mecanismo SN2. Neste caso, o carbono nucleofílico irá deslocar o halogêneo do grupo benzílico para se obter o composto C-alquilado. Em uma alquilação SN2 a proporção dos produtos C-alquilado para O- alquilados é favorável aos compostos O-alquilados. A razão para isso é o baixo impedimento estérico presente em torno do ânion de oxigênio em comparação com o ânion do carbono secundário. Tal como referido acima, entretanto, no caso da reação entre cloreto de 4-nitrobenzilo e 2-nitropropano, a relação encontrada foi a favor do composto C-alquilado, e a cinética foi considerada de primeira ordem. Esta aparente contradição entre a expectativa para uma rota de SN2 e os resultados observados levou Kerber et al. a propor um mecanismo radicalar de primeira ordem. Eles sugeriram que a simples transferência de elétron (SET) para o cloreto de 4-nitrobenzilo, conduz à formação de um ânion radical. Esta espécie de radicais, em seguida, passa por decomposição, para se obter um radical 4-nitrobenzilo e um ânion cloro, o que se acredita ser o passo determinante da velocidade da reação.[1]

O valor de síntese da reação de substituição SRN1 foi desenvolvido a partir deste entendimento mecanicista. A reação é capaz de prover carbonos altamente substituídos, que seriam inacessíveis por processos normais SN2. Por exemplo, haletos terciários p-nitrocumil podem atuar como agentes alquilantes com um elevado rendimento. O nucleófilo não precisa ser um ânion nitro-alcano, mas pode ser ânions, tais como tiolato, fenolato, ou um carbânion, tal como aqueles derivados do éster malonato. O mesmo mecanismo funciona como para o ânion nitrato. Além disso, o grupo de saída não necessita de ser um haleto. O deslocamento do íon nitrito a partir do p-nitro cumeno ocorre com boa eficiência.[8]
Reações de oxigenação
A oxidação em cadeia de moléculas orgânicas por radicais livres através de oxigênio molecular é muitas vezes referida como auto-oxidação. O mecanismo geral é descrito a seguir:

A facilidade da autoxidação é determinada pela taxa de abstração de hidrogênio, na segunda etapa da sequência de propagação. Os radicais alquilperoxil que atuam como transportadores de cadeia são bastante seletivos. Posições que são relativamente ricas em elétrons ou fornecem radicais particularmente estáveis são os mais facilmente oxidados. Posições benzílicas, alílicas e posições terciárias são as mais suscetíveis à oxidação.[1]

A reatividade de uma série de hidrocarbonetos com relação ao oxigênio medidos sob um conjunto de condições padrão fornece alguma indicação da suscetibilidade a auto-oxidação de várias unidades estruturais.[9] A tabela abaixo mostra os resultados para uma série de hidrocarbonetos. Os melhores resultados de auto-oxidação são obtidos quando apenas um hidrogênio relativamente reativo está disponível para a abstração.

Rearranjo de radicais livres
Rearranjos de radicais livres são menos comuns que as do tipo nucleofílica,mas quando ocorrem em geral são semelhantes.[1] Primeiramente deve-se ocorrer a geração de um radical livre, a etapa de iniciação do processo radicalar e, em seguida, a migração real em que o grupo migrante move-se com um elétron:

O novo radical livre formado deve se estabilizar por uma nova reação. A ordem da estabilidade de radicais nos leva a prever que, assim como com rearranjos de carbocátion, as migrações devem ocorrer, na ordem de prioridade, no carbono primário<secundário<terciário.[2]

Os grupos arila migram, mas a proposta de que um anel de três membros, como produto intermediário, ainda gera muita controvérsia. Porém a maior parte das evidências indica que B é um estado de transição, não um intermediário. A evidência é à não observação de B quer por ESR ou CIDNP. Ambas as técnicas podem detectar os radicais livres com vidas extremamente curtas.[2]

Além do grupo arila, grupos vinílicos e acetoxi também migram. Grupos vinílicos migram através de um de radical ciclopropilcarbinil intermediário (D), enquanto que a migração de grupos acetoxi pode envolver a estrutura de separação de carga imediata.

As preferências migratórias para os grupos fenilo e vinílicos, e por outros três grupos, utilizando o sistema de RCMe2CH2• → Me2•CH2R, foram encontrados para ser na orde em que R é igual a:
H2C=CH>Me3CC=O>Ph>Me3C≡C>CN[2]
Em resumo, migrações de radicais livres são muito menos prevalentes do que os processos análogos dos carbocátions, e são importantes apenas para arila, vinílico, acetoxi, e os grupos de migração de halogêneo. A direção da migração é normalmente para o radical mais estável, mas rearranjos por “vias erradas” também são conhecidos.
Apesar do fato de que os átomos de hidrogênio não fazem migrações do tipo 1,2, migrações de radicais livres de hidrogênio são conhecidas. Os mais comuns são 1,5 porém migrações mais longas 1,6 também são observadas. A possibilidade de migração de hidrogênio 1,3 tem sido também investigada, porém tal fato não foi confirmado, presumivelmente, a geometria mais favorável para C····H·····C, no estado de transição, é linear e esta geometria não pode ser alcançada em uma migração 1,3. Migrações do tipo 1,4 são conhecidas, mas ainda não muito observadas. Essas migrações longas são mais consideradas como abstrações internas de hidrogênio.[2]

Reações radicalares de outros grupos de transferência
Outros grupos além do átomo hidrogênio são suscetíveis a abstração por radicais livres. Os mais importante são bromo, iodo, enxofre, e selênio no uso de síntese. Podem ocorrer reações de transferência de grupo inter ou intramolecular.[1]

Iodo pode ser usado em processos envolvendo as reações de ciclização como por exemplo os nas reações na formação de derivados de 6-iodohexene. O radical gerado pela abstração do átomo iodo cicliza-se rapidamente para um radical ciclopentilmetilo. A propagação da cadeia é pela transferência de um átomo de iodo.

Aril selenetos também são excelentes reagentes em reações de transferência de grupo. Fotólise de selenetos em um solvente inerte, como o benzeno, pode iniciar as reações em cadeia. Vários radicais substituídos podem ser gerados desta maneira, através da utilização de α-Selenenil derivados de ésteres, nitrilos, malonatos, β-cetoésteres, α-methoxyesters, e phosphonates. Os radicais resultantes passam por adição de alcenos para gerar derivados de selênios.[1]

Adições de selenetos pode ser realizadas via radicais livres na presença de tri-n-butilestanano, o radical gerado pela adição é reduzida pela abstração de hidrogênio. A reação em cadeia é então continuada pela abstração do seleneto pelo radical estanilo, o que leva à ciclização dos produtos.
Ver também
Referências
- ↑ a b c d e f g h i j k l m n o p q r s t CAREY, Francis et al. Advanced Organic Chemistry. part A. 5 ed. Spring Verlag, 2007.
- ↑ a b c d e f g h i Smith, Michael B., March, Jerry March’s Advanced Organic Chemistry: Reactions, Mechanisms, and Structure, Sixth Edition, 2007.
- ↑ a b c Fernández, G, Halogenación de Alcanos. Academia Minas Centro Universitário, 2011.
- ↑ a b c d CAREY, Francis A.. Química Orgânica - Vol. 1. São Paulo: McGraw-Hill, 2011
- ↑ E. Sosnovsky,Free Radical Reactions in Preparative Organic Chemistry, Macmillan, New York, 1964.
- ↑ J. G. Traynham, A. G. Lane, and N. S. Bhacca,J. Org. Chem., 34, 1302 (1969).
- ↑ Smith, Michael B., March, Jerry March’s Advanced Organic Chemistry: Reactions, Mechanisms, and Structure, Sixth Edition, 2007.
- ↑ Galli, C.; Gentili, P.; Rappoport, Z. Competition of Mechanisms in Nucleophilic Substitution of Vinyl Halides. An Unequivocal Example of the Vinylic SRN1 Route. J. Org. Chem. 1994, 59, 6786-6795
- ↑ G. A. Russell,J. Am. Chem. Soc., 78, 1047 (1956)