Reação de Pinner
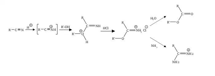
A reação de Pinner (após Adolf Pinner) é uma reação orgânica de uma nitrila com um álcool usando um catalisador ácido, por exemplo, ácido sulfúrico.[1] O produto formado é o sal de ácido mineral de um éster de imino ou um imidato de alquila, o qual às vezes é chamado um sal de Pinner. A reação uma sequência de adições nucleofílicas.[2][3][4][5]
Estes sais podem reagir com um excesso de álcool para formar o ortoéster RC(OR)3, com amônia ou uma amina para formar uma amidina ou com água para formar um éster.

Deve ser observado que a reação de Pinner se refere especificamente a um processo catalisado por ácido, mas que resultados semelhantes podem frequentemente ser alcançados usando catálise de base. As duas abordagens podem ser complementares, com nitrilos que não são reativos em condições ácidas, muitas vezes dando melhores resultados na presença da base, e vice-versa.[6] O fator determinante é tipicamente como o nitrilo é rico em elétrons ou é pobre. Por exemplo: um nitrilo pobre em elétrons é um bom eletrofilo (prontamente suscetível ao ataque de alcóxidos etc.) mas um nucleófilo pobre (difícil de protonar) e, portanto, seria esperado reagir mais prontamente em condições básicas e não ácidas.
Referências
- ↑ Adams, Roger; Thal, A. F. (1922). «Ethyl Phenylacetate». Organic Syntheses. 2: 27. doi:10.15227/orgsyn.002.0027
- ↑ A. Pinner, F. Klein; Klein (1877). «Umwandlung der Nitrile in Imide». Berichte der deutschen chemischen Gesellschaft. 10 (2): 1889–1897. doi:10.1002/cber.187701002154
- ↑ A. Pinner, Fr. Klein; Klein (1878). «Umwandlung der Nitrile in Imide». Berichte der deutschen chemischen Gesellschaft. 11 (2): 1475–1487. doi:10.1002/cber.18780110258
- ↑ A. Pinner (1883). «Ueber die Umwandlung der Nitrile in Imide». Berichte der deutschen chemischen Gesellschaft. 16 (2): 1643–1655. doi:10.1002/cber.18830160235
- ↑ Roger, R.; Neilson, D. G. (1961). «The Chemistry of Imidates». Chem. Rev. 61 (2): 179–211. doi:10.1021/cr60210a003
- ↑ Schaefer, F. C.; Peters, G. A. (1961). «Base-Catalyzed Reaction of Nitriles with Alcohols. A Convenient Route to Imidates and Amidine Salts». Journal of Organic Chemistry. 26 (2). 412 páginas. doi:10.1021/jo01061a034
Ver também
- Reação de Hoesch
- Rearranjo de Overman
- Síntese de aldeído de Stephen – essencialmente a mesma reação, mas incluindo uma redução e com água como nucleófilo; gerando o aldeído.