Quinolina
Quinolina
| |||||||||||||||
|---|---|---|---|---|---|---|---|---|---|---|---|---|---|---|---|
![]() | |||||||||||||||
![]() | |||||||||||||||
| Nomes | |||||||||||||||
| Nome IUPAC | Quinoline | ||||||||||||||
| Outros nomes | 1-benzazine, 1-azanaphthalene, benzo[b]pyridine | ||||||||||||||
| |||||||||||||||
| |||||||||||||||
| |||||||||||||||
| Página de dados suplementares | |||||||||||||||
| Estrutura e propriedades | n, εr, etc. | ||||||||||||||
| Dados termodinâmicos | Phase behaviour Solid, liquid, gas | ||||||||||||||
| Dados espectrais | UV, IV, RMN, EM | ||||||||||||||
| Exceto onde denotado, os dados referem-se a materiais sob condições normais de temperatura e pressão. Referências e avisos gerais sobre esta caixa. Alerta sobre risco à saúde. | |||||||||||||||
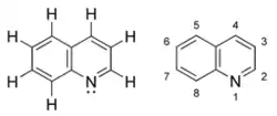
Quinolina é o composto aromático heterocíclico de fórmula química C9H7N com dois anéis, em que um carbono na posição 1 é substituído pelo heteroátomo Nitrogênio (N). Quinolina é um composto incolor, higroscópico líquido com forte odor característico. A quinolina apresenta instabilidade na presença de luz e oxigênio, tornando-se amarelada ou marrom, dependendo das condições de exposição à luz. Quinolina é ligeiramente solúvel em água fria, mas é bastante solúvel em água quente e na maioria dos solventes orgânicos. Um dos derivados químicos da quinolina bastante conhecido é a quinina.

