Nucleossíntese primordial

Em Cosmologia, a nucleossíntese primordial (ou nucleossíntese do Big Bang) se refere a um período de 10 segundos a 20 minutos que se iniciou após o Big Bang,[1] durante o qual foram formados alguns elementos químicos leves: o abundante hidrogênio-1 (1H), também conhecido como prótio, seu isótopo, o deutério (2H ou D), os isótopos hélio-3 (3He), hélio-4 (4He) e lítio-7 (7Li).[2] Além desses núcleos estáveis foram também produzidos dois isótopos instáveis: o trítio (3H) e o berílio-7 (7Be).

História da teoria

Ralph Asher Alpher[3]
George Anthony Gamov - Créditos: Laboratory of W. H. Bragg (1931)
Hans Albrecht Bethe[4]

A teoria que descreve a formação dos elementos químicos primordiais, conhecida como teoria Alpher-Bethe-Gamow, foi elaborada por Ralph Alpher quando era doutorando em física, orientado por George Gamow. A tese de Alpher afirmava que o Big Bang deveria criar hidrogênio, hélio e elementos mais pesados em determinadas proporções para explicar sua abundância no universo primordial.

Em 1 de abril de 1948, foi publicado um artigo na Physical Review por Ralph Alpher, Hans Bethe e George Gamow, intitulado "A Origem dos Elementos Químicos".[5] O trabalho ficou conhecido como αβγ paper, pois os sobrenomes dos autores fazia uma alusão às três primeiras letras do alfabeto grego - alfa, beta e gama (α, β, γ). No entanto, esta configuração de autores não foi uma coincidência: Gamow era famoso por seu senso de humor e adicionou seu amigo Bethe, conhecido por seu trabalho com nucleossíntese estelar, para fazer o trocadilho com o alfabeto. Na época, Alpher como estudante de doutorado se opôs à adição de Bethe, pois o nome do físico poderia ofuscar sua contribuição no trabalho, mas Gamow publicou o artigo apesar das objeções.[6]

A criação de elementos leves

Durante o curto período de nucleossíntese a formação de elementos dependia de uma série de parâmetros — hoje observado através do Modelo Padrão da física de partículas — principalmente partículas elementares.

Razão entre nêutrons e prótons

Um importante vínculo para os modelos cosmológicos é a razão nêutrons/prótons. Nos primeiros segundos de formação do universo com temperaturas a taxa de formação destas partículas permanecia praticamente constante:

  • (decaimento beta): nesta caso o nêutron pode decair em um próton e um antineutrino associado ao elétron.
  • (captura de elétron): o próton se une a um elétron gerando um nêutron e um neutrino relacionado ao elétron; para que ocorra esta reação a energia do elétron deve ser para que ocorra a conservação de energia.

Quando a temperatura diminui, a taxa de produção de próton é mais alta devido à massa do nêutron ser ligeiramente superior à do próton, consequentemente a razão entre as partículas diminui.[7]

Formação de deutério

Principais cadeias de reações nucleares na nucleossíntese primordial.

O elemento mais simples formado é o deutério, cujo núcleo atômico é composto por um próton e um nêutron. Na reação também são gerados fótons de radiação gama. Esta abundância de fótons altamente energéticos é muito maior que a de bárions e, por isso, o deutério sofre foto-dissociação em altas temperaturas, no caso quando [8] Assim a taxa de produção de deutério se torna maior que a de destruição, atingindo uma densidade considerável. Após um período muito curto devido à forte interação, virtualmente todos nêutrons vinculam-se ao deutério. O 3He, por sua vez, é formado a partir da captura de um próton pelo deutério, ou por meio de colisões envolvendo dois núcleos de deutério.

Hélio-4

Devida à alta densidade de deutério, quase toda sua produção se transforma em 4He, basicamente formado pela captura de um deutério pelo trítio, ou pela colisão de dois núcleos de 3He[9] Esse isótopo possui uma energia de ligação alta (núcleo constituído por dois prótons e dois nêutrons) e não sofre foto-dissociação.

Abundância de hélio

Progressão histórica da fração de massa de hélio primordial. Os dados observacionais demonstram coerência com os modelos de nucleossíntese primordial; valores próximos de 0,25 para a mudança de bárions.[10]

Com a formação do isótopo 4He, virtualmente todos os nêutrons estão presos em seu núcleo. A partir desta informação pode-se estimar a abundância de hélio-4 primordial dividindo as densidades numéricas do número de nêutrons por dois: . Sendo assim, a fração de massa Y de 4He é dada por:

Em que, a massa de Hélio é dividida pela massa total (massa de hélio mais hidrogênio (ou prótons)). Note que foi considerado uma aproximação na qual o 4He é quatro vezes "mais pesado" que o H; os prótons livres neste momento estão ligados ao 4He ou hidrogênio, a diferença de densidades entre essas duas partículas deve ser igual à densidade de hidrogênio . É previsto também que a razão em .[11][12][13] Portanto, a partir destas previsões, os modelos cosmológicos preveem aproximadamente que 1/4 da matéria bariônica neste período era composto por 4He.[14] Com o resfriamento do Universo este conteúdo de 4He irá mudar devido a produção de estrelas em aproximadamente 100 milhões de anos após o Big Bang.[15]

Uma das formas de testar as previsões da abundância de Hélio primordial é encontrando galáxias onde a formação de estrelas é recente, nelas a abundância de Hélio ainda não foi modificado pela Nucleossíntese Estelar. Um exemplo de galáxia é a I Zwicky 18, que é muito pobre em metais (lembrando que em astrofísica considera-se os elementos além do Hélio e Hidrogênio como "metais"). Além disso, também são usados dados da radiação cósmica de fundo em micro-ondas.

Lítio

O lítio-7, segundo os resultados das observações da sonda WMAP e observações de estrelas da População II, mostram uma discrepância para sua estimativa primordial por um fator de 2,4 - 4,3 - atualmente é considerado um problema para muitos modelos.[16]

Densidade de bárions e a evidência de matéria escura

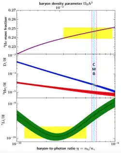
Abundâncias primordiais de 4He, D, 3He e 7Li em função da densidade de bárions das previsões do modelo padrão da nucleossíntese primordial. A região CMB mostra os resultados observacionais da radiação cósmica de fundo e as bandas coloridas são as previsões do modelo. Os retângulos amarelos são as incertezas em um período da densidade de 4He e 7Li

A partir dos dados de 2015 da sonda Planck e utilizando o modelo Lambda-CDM, foram estimados os parâmetros cosmológicos da densidade de bárions em 0,0486 ± 0,0010 — matéria que se refere a todo o material composto principalmente de prótons, nêutrons e elétrons. No entanto as observações astronômicas e as previsões do modelo estimam o parâmetro cosmológico de matéria no Universo em 0,3089 ± 0,0062. A diferença entre os parâmetros cosmológicos pode evidenciar um outro tipo de matéria, chamada de matéria escura e seu valor (ainda uma estimativa diante das últimas pesquisas) segundo o modelo é 0, 2589 ± 0,0057.[17][18]

Status da teoria

Além do cenário padrão da Teoria de nucleossíntese primordial, existem outros não padronizados.[19] Estes não devem ser confundidos com teorias que não pressupõe um Big Bang, mas insere a possibilidade de uma física adicional para prever como as abundâncias elementares primordiais aconteceram. Esta física adicional inclui relaxar ou remover a suposição de homogeneidade do universo, ou inserir novas partículas, como os neutrinos.[20]

Ver também

Referências

  1. Coc, Alain; Vangioni, Elisabeth (agosto de 2017). «Primordial nucleosynthesis». International Journal of Modern Physics E (08). 1741002 páginas. ISSN 0218-3013. doi:10.1142/S0218301317410026. Consultado em 22 de novembro de 2020 
  2. «Elements of the past: Big Bang Nucleosynthesis and observation». web.archive.org. 8 de fevereiro de 2007. Consultado em 28 de novembro de 2020 
  3. Alpher, Victor S. (1 de setembro de 2012). «Ralph A. Alpher, Robert C. Herman, and the Cosmic Microwave Background Radiation». Physics in Perspective (em inglês) (3): 300–334. ISSN 1422-6960. doi:10.1007/s00016-012-0088-7. Consultado em 1 de dezembro de 2020 
  4. «The Nobel Prize in Physics 1967». NobelPrize.org (em inglês). Consultado em 1 de dezembro de 2020 
  5. Alpher, R. A.; Bethe, H.; Gamow, G. (1 de abril de 1948). «The Origin of Chemical Elements». Physical Review (7): 803–804. doi:10.1103/PhysRev.73.803. Consultado em 26 de novembro de 2020 
  6. «This Month in Physics History». www.aps.org (em inglês). Consultado em 26 de novembro de 2020 
  7. «Extragalactic Astronomy and Cosmology». 2006. doi:10.1007/978-3-540-33175-9. Consultado em 27 de novembro de 2020 
  8. .«Extragalactic Astronomy and Cosmology». 2006. doi:10.1007/978-3-540-33175-9. Consultado em 27 de novembro de 2020 
  9. .«Formacao dos elementos». www.astro.iag.usp.br. Consultado em 27 de novembro de 2020 
  10. Aver, Erik; Olive, Keith A.; Skillman, Evan D. (5 de maio de 2010). «A New Approach to Systematic Uncertainties and Self-Consistency in Helium Abundance Determinations». Journal of Cosmology and Astroparticle Physics (05): 003–003. ISSN 1475-7516. doi:10.1088/1475-7516/2010/05/003. Consultado em 28 de novembro de 2020 
  11. Bernstein, Jeremy; Brown, Lowell S.; Feinberg, Gerald (1 de janeiro de 1989). «Cosmological helium production simplified». Reviews of Modern Physics (1): 25–39. doi:10.1103/RevModPhys.61.25. Consultado em 28 de novembro de 2020 
  12. Iocco, Fabio; Mangano, Gianpiero; Miele, Gennaro; Pisanti, Ofelia; Serpico, Pasquale D. (1 de março de 2009). «Primordial nucleosynthesis: From precision cosmology to fundamental physics». Physics Reports (em inglês) (1): 1–76. ISSN 0370-1573. doi:10.1016/j.physrep.2009.02.002. Consultado em 28 de novembro de 2020 
  13. Mukhanov, V. (1 de março de 2004). «Nucleosynthesis Without Computer». International Journal of Theoretical Physics (em inglês) (3): 669–693. ISSN 1572-9575. doi:10.1023/B:IJTP.0000048169.69609.77. Consultado em 28 de novembro de 2020 
  14. Sarkar, Subir (1 de dezembro de 1996). «Big Bang nucleosynthesis and physics beyond the Standard Model». Reports on Progress in Physics (12): 1493–1609. ISSN 0034-4885. doi:10.1088/0034-4885/59/12/001. Consultado em 28 de novembro de 2020 
  15. LARSON, RICHARD B.; BROMM, VOLKER (2001). «THE FIRST STARS IN THE UNIVERSE». Scientific American (6): 64–71. ISSN 0036-8733. Consultado em 28 de novembro de 2020 
  16. Karki, Ravi. (2010). The Foreground of Big Bang Nucleosynthesis. Himalayan Physics. 1. 10.3126/hj.v1i0.5186.
  17. Planck Collaboration; Ade, P. A. R.; Aghanim, N.; Arnaud, M.; Ashdown, M.; Aumont, J.; Baccigalupi, C.; Banday, A. J.; Barreiro, R. B. (outubro de 2016). «Planck 2015 results. XIII. Cosmological parameters». Astronomy & Astrophysics: A13. ISSN 0004-6361. doi:10.1051/0004-6361/201525830. Consultado em 29 de novembro de 2020 
  18. March 2015, Calla Cofield 26. «Dark Matter Probably Isn't a Mirror Universe, Colliding Galaxies Suggest». Space.com (em inglês). Consultado em 29 de novembro de 2020 
  19. Malaney, Robert A.; Mathews, Grant J. (1 de julho de 1993). «Probing the early universe: a review of primordial nucleosynthesis beyond the standard big bang». Physics Reports (em inglês) (4): 145–219. ISSN 0370-1573. doi:10.1016/0370-1573(93)90134-Y. Consultado em 29 de novembro de 2020 
  20. Soler, F. J. P.; Froggatt, Colin D.; Muheim, Franz (29 de outubro de 2008). Neutrinos in Particle Physics, Astrophysics and Cosmology (em inglês). [S.l.]: CRC Press 

Bibliografia

  • Peter Schneider: Extragalactic Astronomy and Cosmology, Springer
  • Notas de Aula sobre Nucleossíntese Primordial do Prof. Dr. Oscar Cavichia do Instituto de Física e Química da Universidade Federal de Itajubá.