Nitrato básico de telúrio
Nitrato básico de telúrio
| |||||||||||
|---|---|---|---|---|---|---|---|---|---|---|---|
![]() | |||||||||||
![]() | |||||||||||
| Nomes | |||||||||||
| Nome IUPAC | Nitrato de trioxohidroxoditelúrio (IV) | ||||||||||
| Outros nomes | Nitrato básico de telúrio IV | ||||||||||
| |||||||||||
| |||||||||||
| |||||||||||
| |||||||||||
| Página de dados suplementares | |||||||||||
| Estrutura e propriedades | n, εr, etc. | ||||||||||
| Dados termodinâmicos | Phase behaviour Solid, liquid, gas | ||||||||||
| Dados espectrais | UV, IV, RMN, EM | ||||||||||
| Exceto onde denotado, os dados referem-se a materiais sob condições normais de temperatura e pressão. Referências e avisos gerais sobre esta caixa. Alerta sobre risco à saúde. | |||||||||||
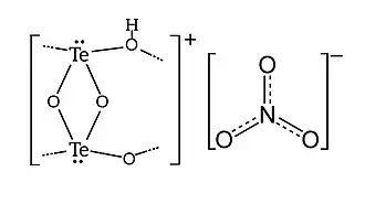
Nitrato básico de telúrio ou nitrato de trióxido-hidróxido ditelúrio (IV)[1] é um composto químico com a fórmula química Te
2O
3(OH)NO
3 ou Te
2O
4 · HNO
3.[2] É um sólido branco cristalino, formado quando o telúrio elementar ou o dióxido de telúrio reagem com o ácido nítrico concentrado abaixo de 70°C.[1] Esse composto é altamente solúvel em água com hidrólise, produzindo uma solução altamente ácida. Em solução mais diluída, pode hidrolisar completamente com um precipitado branco de dióxido de telúrio hidratado.
Estrutura
Essa substância possui uma estrutura que é composta por camadas de átomos de telúrio e oxigênio que são enrugadas. Cada átomo de telúrio é conectado a outro por duas pontes de oxigênio, e a outros dois por uma única ponte de oxigênio.[2] Esta estrutura é constituída por íons poliméricos bidimensionais [Te
2O
3(OH)]+ que formam camadas, com íons nitrato NO–
3 discretos entre elas.[3]
O nitrato de telúrio básico cristaliza como cristais piramidais rômbicos,[4] e essa estrutura cristalina pertencem ao grupo espacial Pnma, [2] com a = 14,607 (1), b = 8,801 (1) e c = 4,4633 (4)[3]
Síntese e Propriedades
Te
2O
3(OH)NO
3 é formado quando uma solução de telúrio ou dióxido de telúrio em ácido nítrico é evaporada sem aquecimento excessivo.[4] Essa reação ocorre até no máximo 70°C.[1]
Reação do telúrio elementar:[1]
2Te + 9HNO
3 → [Te
2O
3(OH)]NO
3 + 8NO
2 + 4H
2O
Reação do dióxido de telúrio:
2TeO
2 + HNO
3 → [Te
2O
3(OH)]NO
3
O nitrato básico de telúrio é um composto cristalino solúvel em água,[2] porém propenso a hidrólise extensiva. A água quente hidrolisa rapidamente o sal com a formação de dióxido de telúrio hidratado e ácido nítrico.[4]
[Te
2O
3(OH)]NO
3 + 2H
2O → 2(TeO
2 · H2O) + HNO
3
Te
2O
3(OH)NO
3 é uma fonte de telúrio compatível com nitratos e pH mais baixo (ácido).[5] Esse composto também é um agente oxidante, podendo se decompor em telúrio elementar e óxidos de nitrogênio na presença de redutores adequados.
Quando aquecido, o nitrato sofre decomposição, que começa a 190°C, sendo o resíduo final o dióxido de telúrio. Esse último pode ser obtido com bom rendimento a partir do aquecimento do nitrato básico a 400°C.[6]
[Te
2O
3(OH)]NO
3 → 2TeO
2 + HNO
3
Usos
O nitrato básico de telúrio é usado em pesquisas químicas. Pode ser usado como um precursor para produzir compostos de ultra-alta pureza, catalisadores e materiais em nanoescala
Segurança
O telúrio e seus compostos são tóxicos, podendo ter efeito teratogênico e só deve ser manuseado por químicos competentes. O nitrato básico de telúrio é corrosivo e oxidante, podendo causar dermatites e queimaduras na pele ao contato. Como outros compostos de telúrio, a absorção cutânea ou ingestão de pequenas quantidades pode causar um odor corporal persistente e extremamente desagradável que lembra alho podre ou rabanete, bem como mau-hálito intenso a alho. O telúrio pode ser absorvido pelo corpo através da inalação de seu aerossol.[7]
Referências
- ↑ a b c d https://chemiday.com/en/reaction/3-1-0-12193
- ↑ a b c d https://journals.iucr.org/paper?S0365110X66003487#:~:text=The%20structure%20consists%20of%20puckered%20layers%20of,others%20by%20a%20single%20oxygen%20bridge%20each.
- ↑ a b https://inis.iaea.org/records/9878n-1zn53
- ↑ a b c http://tellurium.atomistry.com/basic_tellurium_nitrate.html
- ↑ https://www.americanelements.com/tellurium-nitrate-64535-94-0#:~:text=About%20Tellurium%20Nitrate,cation%20and%20the%20nitrate%20anion.
- ↑ 2]Greenwood NN , Earnshaw A (1984). Química dos Elementos . Oxford: Pergamon Press . pág. 911. ISBN 978-0-08-022057-4.
- ↑ https://www.lenntech.com/periodic/elements/te.htm#:~:text=Health%20effects%20of%20tellurium,-Fortunately%2C%20tellurium%20compounds&text=They%20are%20teratogenic%20and%20should,by%20inhalation%20of%20its%20aerosol.
NO3.jpg)
