Monocerina
Monocerina
| |||||||||||
|---|---|---|---|---|---|---|---|---|---|---|---|
![]() | |||||||||||
| Nomes | |||||||||||
| Nome IUPAC | (2S,3aR,9bR)-6-hydroxy-7,8-dimethoxy-2-propyl-2,3,3a,9b-tetrahydro-5H-furo[3,2-c]isochromen-5-one | ||||||||||
| |||||||||||
| |||||||||||
| Página de dados suplementares | |||||||||||
| Estrutura e propriedades | n, εr, etc. | ||||||||||
| Dados termodinâmicos | Phase behaviour Solid, liquid, gas | ||||||||||
| Dados espectrais | UV, IV, RMN, EM | ||||||||||
| Exceto onde denotado, os dados referem-se a materiais sob condições normais de temperatura e pressão. Referências e avisos gerais sobre esta caixa. Alerta sobre risco à saúde. | |||||||||||
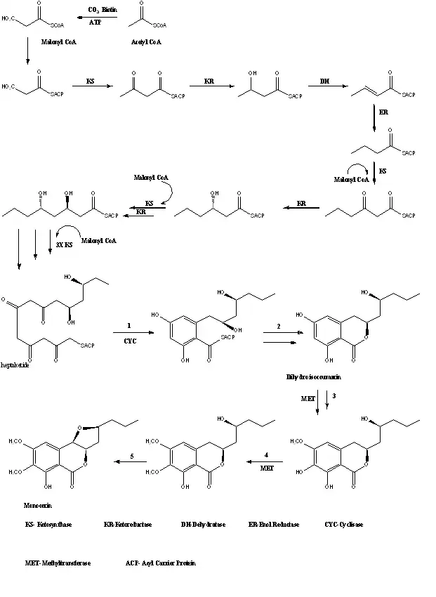
Monocerina é uma di-hidroisocumarina e um metabólito policetídeo que se origina de várias espécies de fungos. Foi demonstrado que apresenta características antifúngicas, fitopatogênicas e inseticidas. Monocerina foi isolada de Dreschlera monoceras, D. ravenelii, Exserohilum turcicum e Fusarium larvarum.[1]
Biossíntese
Policétido sintases (PKSs) dos fungos são PKSs do tipo I. A monocerina foi confirmada por estudos de biossíntese como tendo origens heptacétidas. Monocerina PKS produz um intermediário com inicialmente um alto grau de modificação redutiva, mas termina com uma clássica porção molecular de β-policetídeo. Di-hidroisocumarina é o primeiro intermediário livre de PKS que seria formado a partir do heptacetídeo reduzido cuja via de montagem é mostrada na figura 1.[2] Cetossintase, cetoredutase, desidratos, enol redutases e ciclisases são mostradas como domínios do monocerina PKS e a metil transferase é considerada uma enzima de adaptação.[3]

- Formação de um íon enolato no carbono em três carbonos do enxofre permite a adição de aldol no carbonil seis carbonos distantes ao longo da cadeia. Isso produz o álcool secundário. A desidratação prossegue para dar o alceno. A enolização ocorre para alcançar a estabilidade do anel aromático.[4]
- A cadeia modificada é transferida para o domínio TE. Isso permite a lactonização e liberação da enzima.[4]:72
- Hidroxilação ocorre na posição orto para dois substituintes. O-metilação ocorre.[1]
- O-metilação
- Formação de éter cíclico.
Efeitos biológicos
Monocerina produzida por Exserohilum turcicum causa a doença "ferrugem da folha do milho do Norte" (Northern Corn Leaf) no milho. O milho desenvolverá lesões marrons em suas folhas e terá viabilidade diminuída em suas células da raiz.[5] Monocerina também demonstrou ser um inseticida eficaz contra os pulgões-lanígeros.[6] Monocerina também é um herbicida eficaz contra a gramínea maçambará (Sorghum halepense) inibindo o crescimento de mudas. Tem um efeito menor contra pepino.[7]
Referências
- ↑ a b Axford, L.C., Simpson, T.J., Willis, C.L. (2004). «Synthesis and Incorporation of the First Polyketide Synthase Free Intermediate in Monocerin Biosynthesis». Angewandte Chemie. 116: 745–748. doi:10.1002/ange.200352652
- ↑ Weerasooriya, M.K.B. & Crosby, J. (2007). «Methyl Transferase, a Polyketide Biosynthetic Enzyme from Dreschlera Monoceras: Purification and Properties». J. Sci. Univ. Kelaniya. 3: 1–16
- ↑ Staunton, J., Weissman, K.J. (2001). «Polyketide biosyntheis: a millennium review». Natural Product Reports. 18: 380–416. doi:10.1039/a909079g
- ↑ a b Dewick, P.M. (2009). Medicinal Natural Products, 3rd. Ed. [S.l.]: Wiley. 101 páginas
- ↑ Cuq, F., Brown, S.C., Petitprez, M., and Alibert, G. (1995). «Effects of monocerin on cell cycle progression in maize root meristems synchronized with aphidicolin». Plant Cell Reports. 15: 138–142. doi:10.1007/bf01690271
- ↑ Grove, J.F. & Pople M. (1979). «Metabolic Products of Fusarium larvarum Fuckel. The Fusarentins and the Absolute configuration of Monocerin». Journal of the Chemical Society, Perkin Transactions 1. 1: 2048–2051. doi:10.1039/p19790002048
- ↑ Roberson, D.J. & Strobel, G.M. (1982). «Monocerin, a Phytotoxin from Exserohilum turcicum». Agricultural and Biological Chemistry. 46: 2681–2683
