Lei da difusão da inovação
| Ciência da Rede |
|---|
| Teoria |
|
| Tipos de Rede |
| Grafos |
|
Caraterísticas
Tipos
|
| Métricas & Algoritmos |
| Modelos |
| Categorias |
A Lei da Difusão da Inovação é uma teoria que procura explicar como, por que e em que proporção novas ideias e tecnologias se disseminam. Everett Rogers, professor de estudos de comunicação, popularizou a teoria em seu livro Difusion of Innovations (Difusão da Inovação); o livro foi publicado pela primeira vez em 1962 e está agora em sua quinta edição (2003). Rogers argumenta que a difusão é o processo pelo qual uma inovação é comunicada ao longo do tempo entre os participantes de um sistema social. As origens da difusão da teoria das inovações são variadas e abrangem múltiplas disciplinas.
Rogers propõe que quatro elementos principais influenciam a disseminação de uma nova ideia: a própria inovação, os canais de comunicação, o tempo e um sistema social. Este processo depende fortemente do capital humano. A inovação deve ser amplamente adotada para se sustentar. Dentro da taxa de adoção, há um ponto em que uma inovação atinge a massa crítica. Que também pode ser entendida como a curva da adoção.
As categorias de adotantes são: os inovadores, primeiros adeptos, maioria inicial, maioria tardia e retardatários. A difusão se manifesta de diferentes maneiras e é altamente sujeita ao tipo de adotantes e ao processo de tomada de decisão da inovação. O critério para a categorização do adotante é a inovatividade (algo como a qualidade de ser inovador), definida como o grau em que um indivíduo adota uma nova ideia. (texto traduzido do original em inglês)
No contexto das redes sociais, o termo difusão de inovações refere-se ao fenómeno em que um novo comportamento, prática, opinião, convenção ou tecnologia se propaga de pessoa para pessoa, através das influências que os adotantes exercem nos seus vizinhos e amigos (nós contexto de um grafo), levando-os a escolher uma nova opção em detrimento de uma já existente. [1]
Quando se aborda o tema da inovação, refere-se essencialmente a processos de mudança de mercado, sendo essencialmente a transformação de ideias e/ou utilização de invenções, de que resultam aplicações úteis conducentes a melhoramentos [2], que podem trazer grandes mudanças ao nivel de produtos/serviços bem como dos seus processos de distribuição [3].
Vários estudos acerca do tema da difusão de inovações foram efetuados durante o século XX [4], cujo objetivo foi estudo em como as novas tecnologias se difundiam através de grupos de pessoas, analisando os fatores que facilitaram ou impediram o processo, concluíram que uma das principais motivações para esta difusão, deveu-se ao facto de as pessoas considerarem as decisões acerca da adoção feitas pelos seus vizinhos da rede, sendo exemplos o estudo de Ryan and Gross acerca da adoção de uma nova semente hibrida no estado do Iowa em que estes foram convencidos a experimentar a nova semente convencidos pela experiência dos vizinhos na sua comunidade e o estudo de Coleman, Katz e Menzel que estudaram a adoção de um novo medicamento pelos médicos, tendo concluído que os riscos da novidade e da falta de compreensão, no entanto os early adopters que verificaram os elevados benefícios do novo medicamento convenceram os seus vizinhos da rede, neste caso os seus colegas médicos a adotarem [4]. Este fenómeno de propagação de influências vizinho a vizinho, é também possível visualizar na adoção do telefone, cujo grande incentivo foi a necessidade de comunicar de uma forma rápida com os amigos que já adotaram a nova tecnologia. O mecanismo de transmissão destas novas ideias designa-se por contágio complexo [1], como será possível visualizar no ponto seguinte em que será feita a comparação entre os tipos de contágio existentes.
Contágio Simples e Contágio Complexo
O contágio dentro de uma rede social pode ser de duas formas, simples ou complexo. Imagine-se, em vez de uma inovação, o surgimento de uma epidemia causada por um vírus altamente contagioso, aí em vez de influencias, a difusão é causada pelo contacto entre as pessoas (nós, no contexto dos grafos, contacto definido pelas arestas), por exemplo, ao contrário do contágio complexo em que exige a existência de várias pessoas para que convençam outra a aderir à nova ideia, no caso do simples, basta uma pessoa, pois não são necessárias influências para ocorrer um contágio viral [1].
Outros exemplos de contágios simples são:
Relativamente ao contágio complexo, ao contrário do simples, este requer que exista um contacto com mais de uma fonte de exposição, por exemplo, se for lançada uma nova tecnologia pouco testada e conhecida, normalmente uma pessoa não a vai adotar por haver apenas uma pessoa no seu grupo que a adotou [1]. Para além do caso das inovações, outros exemplos de contágio complexo podem ser os seguintes:
- A difusão do tabaco por influência dos amigos, bem como do seu abandono [5].
Mecanismos de Contágio Complexo
É possível fazer a distinção entre 4 mecanismos de contágio complexo, a complementaridade estratégica que afirma que apenas conhecer uma inovação raramente é suficiente para que esta seja adotada, pois muitas inovações são caras, especialmente para os early adopters [1]. A credibilidade, pois as inovações enquanto não forem adotadas pelos vizinhos do nó, raramente têm credibilidade, exemplo disso são as inovações médicas que até verem os seus colegas a utilizá-las, normalmente estes resistem [1]. A legitimidade que refere o facto de ter vários amigos a participar em ações coletivas aumenta a aceitação da legitimidade de um movimento na perspetiva do nó, exemplos disso são as decisões sobre o que vestir e que penteado a adoptar [1]. Por último, o contágio emocional, que refere-se aos impulsos humanos que amplificam espacialmente nas multidões [1].
Difusão de uma Inovação
Imaginemos dois nós, um v e um w que estão ligados por uma aresta, existindo assim um incentivo para que um deles altere o seu comportamento para que estes coincidam [4]. Usando a teoria dos jogos, podemos definir os retornos [1] da seguinte forma:
- Se v e w adotarem o mesmo comportamento, ambos obtêm um retorno de a>0;
- Se adotarem B, cada um terá um retorno de b>0;
- Se adotarem comportamentos opostos, ambos terão um retorno de 0.
Apesar de neste exemplo se considerarem apenas 2 jogadores, no mundo real, este tem de considerar todos os vizinhos como jogadores, sendo necessário ter em conta as suas opções no momento em que o jogo ocorre. Desta forma, o retorno de cada um dos jogados será o somatório dos jogos efetuados entre v e cada um dos seus amigos / vizinhos, ou seja, a escolha de v se irá ou não adotar a nova ideia será baseada nas escolhas de todos os seus vizinhos, tratando-se desta forma de um fenómeno de contágio complexo. Exemplificando, suponhamos que surge uma opção inovadora A face a uma já existente B. Parte dos vizinhos de v são adotantes de A, outra parte de B, podemos então considerar que uma fração p dos vizinhos é adotante de A e uma fração (1-p) são adotantes de B; o que nos leva a concluir que considerando d o número de vizinhos de v, então pd vizinhos adota a nova opção A e (1-p)d continua com, desta forma será melhor adotar a nova opção inovadora A [1] se:
- , o que equivale a :
Sendo a e b os retornos da adoção de cada uma das opções, podemos então considerar que vale a pena adotar a nova tendência, caso q = b / (a+b) dos amigos adotem, designemos este valor por “valor de entrada”. [4] Para uma melhor compreensão, o caso da seguinte rede social composta por 2 cliques e 5 nós a,b,c,d,e sendo o nó a um early adopter de uma nova tecnologia, considerando como payoffs a=3 e b=2 e dando um valor de entrada q = 2/5, temos a seguinte dispersão:
O b adotou a nova opção, pois aplicando a fórmula indicada anteriormente: , sendo o 1 correspondente ao número de vizinhos de b que já adotou a nova opção e o 2 o número de nós vizinhos de b, ou seja o seu grau, o que permite concluir que b passa então a ser um adotante da nova tecnologia:
Quanto a c, que possui 4 vizinhos, sendo 2 adotantes da nova opção temos: , juntando-se ao conjunto de adotantes da nova opção.
O mesmo acontece com o nó d: , o que nos permite concluir que d irá adotar.
E finalmente o nó e com os cálculos: Fazendo então que e adote a nova tendência.
Como podemos concluir através da visualização da figura anterior, todos os nós adotaram a nova tecnologia inovadora, o que nos permite dizer que ocorreu um fenómeno de cascata completa.
Bloqueios à difusão
Ao contrário do que se pôde ver no exemplo anterior, por vezes nem todos os nós adotam a nova opção inovadora. Dentro de uma rede, considera-se um cluster de densidade p, um conjunto de nós em que cada nó tem dentro do conjunto uma fração p dos seus vizinhos. [4]
Quando a rede possui um cluster de densidade superior a 1-q (sendo q o valor mínimo para adotar, tal como se viu anteriormente), este irá bloquear a difusão da inovação, sendo o único obstáculo à adoção generalizada, evitando por isso o fenómeno de cascata completa.
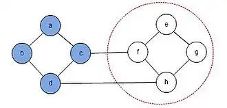
Na rede ao lado, podemos ver um desses casos, considerando os adotantes iniciais os nós b e c, e o valor de entrada q = 1/2.
Como podemos ver, nem todos os nós optaram pela nova opção inovadora, tendo os nós e,f,g e h optado por continuar com a sua opção de sempre, isto deve-se ao facto de estes formarem um cluster de densidade , sendo por isso superior ao valor , daí este bloqueio.
Referências
- «Networks Crowds and Markets: Reasoning about a Highly Connected World (Chapter 19)» (PDF) (em inglês)
- «Networks Crowds and Markets: Reasoning about a Highly Connected World (Chapter 21)» (PDF) (em inglês)
- «Complex Contagion» (em inglês)
- Diffusion_of_innovations
Bibliografia[7]
- ↑ a b c d e f g h i j Centala, Damon; Macy, Michael. Complex Contagions and the Weakness of Long Ties. 2007. University of Chicago.
- ↑ Oliveira, Jorge. Gestão da Inovação. Sociedade Portuguesa de Inovação, Principia, Porto, 2003
- ↑ Tidd, Joe; Bessant, John; Pavitt, Keith. Gestão da Inovação: Integração das Mudanças Tecnológicas, de Mercado e Organizacionais. 2001. Monitor - Projetos e Edições.
- ↑ a b c d e Easley, David; Kleinberg, Jon. Networks, Crowds and Markets. 2010. Cambridge University Press.
- ↑ a b Swarup, Smarth. From Simple to Complex: Modeling Social Contagion. 2010. Virginia Bioinformatics Institute.
- ↑ Golnaz, G.; Ebrahini, R.; Jie, G. Complex Contagion and the Weakness of Long Ties in Social Networks: Revisited. 2013. Stony Brook University.
- ↑ Rogers, Everett M. (16 de agosto de 2003). Diffusion of Innovations, 5th Edition (em inglês). [S.l.]: Simon and Schuster. ISBN 9780743258234
