Folha-beta

Folha-beta é um padrão estrutural encontrado em várias proteínas, nas quais regiões vizinhas da cadeia polipeptídica associam-se por meio de ligações de hidrogênio resultando em uma estrutura achatada e rígida.
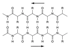
A folha pregueada, ou configuração beta, é uma estrutura também mantida por pontes de hidrogênio entre as unidades peptídicas. Neste caso, entretanto, as ligações são estabelecidas entre cadeias polipeptídicas diferentes, distendidas e paralelas, ou entre segmentos distantes e distendidos de uma mesma cadeia. As pontes de hidrogênio são perpendiculares ao eixo das cadeias, e os grupos R dos aminoácidos projetam-se para cima e para baixo do plano da folha pregueada. Quando o número de cadeias associadas é grande, resulta uma estrutura flexível, mas não elástica.
As estruturas em folha beta podem apresentar dois tipos de orientação: paralelas e anti-paralelas.
As folhas betas paralelas apresentam em sua estrutura cadeias polipeptídicas em sentidos iguais, ou seja, uma cadeia disposta no sentido C para N terminal estará interagindo através de ligações de hidrogênio com uma cadeia no mesmo sentido, C para N. Essas estruturas são menos estáveis em comparação com as folhas betas anti-paralelas. Isso ocorre devido a uma certa torção das ligações de hidrogênio que unem essas cadeias polipeptídicas.

Já as folhas betas antiparalelas possuem cadeias polipeptídicas dispostas em orientações diferentes, ou seja, enquanto uma cadeia está no sentido C para N terminal, a cadeia complementar está no sentido N para C terminal. São estruturas mais estáveis e, portanto, ocorrem em maior frequência nas proteínas. Existem também folhas beta mistas (que possuem ambas orientações), porém são encontradas em baixa frequência.

Referências
Anita Marzzoco, Bayardo Baptista Torres - Bioquímica Básica - Editora Guanabara
VOET, Donald; VOET, Judith. Bioquímica. Porto Alegre: Artmed, 2013.