Filtro FIR

Um filtro FIR ou de resposta ao impulso finita é um tipo de filtro digital caracterizado por uma resposta ao impulso que se torna nula após um tempo finito, em contraste com os filtros IIR.[1][2][3]

Um filtro FIR digital genérico terá uma saída dada pela fórmula:

Onde é a ordem do filtro, o sinal de entrada, o sinal de saída e são os coeficientes do filtro.

A equação anterior também pode ser expressa por:

Estrutura

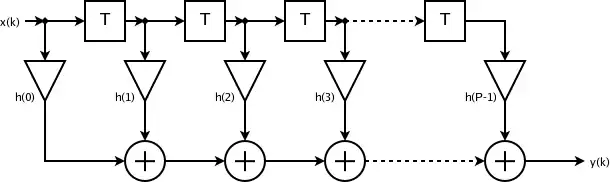
A estrutura básica de um filtro FIR é:


Na figura os termos h são os coeficientes e os T são os elementos de atraso.

Propriedades

Os filtros FIR apresentam algumas propriedades úteis que podem os tornar preferíveis aos filtros IIR. Os filtros FIR:

  • São inerentemente estáveis.[1]
  • Não usam realimentação. Em consequência os erros de arredondamento não se acumulam.
  • Podem ter fase linear.[1]
  • Podem ter fase mínima.

Ver também

Referências

  1. a b c Jeszensky, Paul Jean Etienne (2004). Sistemas Telefonicos. Barueri: Editora Manole Ltda. p. 548 
  2. Lathi, B. P. (2006). Sinais e Sistemas Lineares - 2ª ed. Porto Alegre: Bookman. p. 779 
  3. Vahid, Frank (2009). Sistemas Digitais. Porto Alegre: Bookman. pp. 265–266