Estanabenzeno

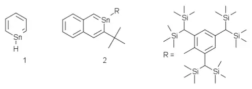
Estanabenzeno (C5H6Sn) é o composto representativo de um grupo de compostos orgânicos contendo em sua estrutura molecular um anel benzênico com um átomo de carbono substuituido por um átomo de estanho. O estanabenzeno (1) propriamente dito é instável mas derivados de naftaleno estáveis são produzidos em laboratório. O 2-estananaftaleno 2 [1] é estável e em atmosfera inerte a temperaturas abaixo de 140 °C. A ligação estanho-carbono neste composto é protegida de reagentes potenciais por dois grupos muito volumosos, um grupo tert-butil e o ainda maior grupo 2,4,6-tris[bis(trimetilsilil)metil]fenil ou Tbt. As duas ligações Sn-C tem comprimentos de ligação de 202,9 e 208,1 pm as quais são mais curtas que aquelas para as ligações Sn-C simples (214 pm) e comparáveis aquelas de conhecidas ligações duplas Sn=C (201,6 pm). As ligações C-C mostra, pequenas variações com comprimentos de ligação entre 135,6 e 144,3 pm sinalizando que este composto é aromático.
Ver também
- Anéis aromáticos de 6 membros com um carbono substituido por outro grupo: borabenzeno, silabenzeno, germanabenzeno, piridina, fosforina, sal de pirilium
Referências
- ↑ [http://pubs.acs.org/doi/abs/10.1021/ja057531d A Stable Neutral Stannaaromatic Compound: Synthesis, Structure and Complexation of a Kinetically Stabilized 2-Stannanaphthalene Yoshiyuki Mizuhata, Takahiro Sasamori, Nobuhiro Takeda, and Norihiro Tokitoh J. Am. Chem. Soc.; 2006; 128(4) pp 1050 - 1051