Epóxi

Uma resina epóxi[1] ou poliepóxido é um polímero termofixo que se endurece quando se mistura com um agente catalisador ou "endurecedor". As resinas epóxi mais frequentes são produtos de uma reação entre epicloridrina e bisfenol-a. Existem ainda as resinas a base de bisfenol F e as resinas epóxi novolac, hidrogenadas, halogenadas e alifáticas.
Existem hoje diversas empresas no mundo[2] que se especializaram em formular produtos com características próprias para cada necessidade do usuário. Os agentes de cura[3] mais comuns são as poliamidas, poliaminoamidas, aminas alifáticas, aminas ciclo-alifáticas, aminas aromáticas, adutos de aminas, anidridos, polimercaptanas e polissulfetos.
História
As primeiras tentativas comerciais de preparo da resina através da epicloridrina aconteceram em 1927 nos Estados Unidos. O mérito da primeira síntese de uma resina baseada no bisfenol-a foi compartilhado entre o Dr. Pierre Castan da Suíça e o norte-americano Dr. S. O. Greenlee em 1936, com a sua exploração comercial em 1938, com o declínio na produção na Segunda Guerra Mundial. Depois desta época, não houve mais problemas relativos a escassez de matéria-prima.[4]
O trabalho do suíço foi licenciado pela empresa química Ciba-Geigy, também Suíça, que se converteu rapidamente, num ano, numa das 3 maiores fabricantes mundiais de resina epóxi, encerrando os negócios nos finais dos anos 90, e transferindo sua marca à Vantico que posteriormente foi adquirida pela Huntsman. O trabalho do Dr. Greenlee foi desenvolvido para uma pequena empresa que, posteriormente, foi comprada pela Shell e então adquirida pela Hexion que hoje faz parte da Momentive
As maiores empresas que atualmente produzem as resinas époxi são: Dow Química, Huntsman, Momentive e Nan-ya. Hoje existem fabricantes mundiais em quase todos os continentes do mundo. No Brasil temos produtos vindos de diversos lugares como China, Coreia, Itália, Republica Checa, Arábia Saudita, Índia, Tailândia, Estados Unidos e Suíça, entre outros.
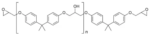
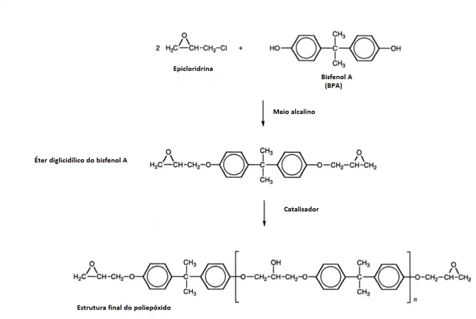
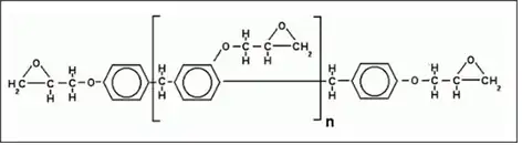
Síntese
A reação de síntese do poliepóxido pode ser observada na seguinte figura:

Produção
As resinas epóxi tem diversos gêneros,cada um de acordo com a produção de um tipo de substância de epóxi, sendo as classificadas como: formadas à base de Bisfenol A, formadas à base de Bisfenol, bromadas e flexíveis sendo abaixo a sua explicação sobre cada um dos processos para a produção:
RESINAS EPÓXI FORMADAS A BASE DE BISFENOL A.
São as mais utilizadas por serem versáteis e de baixo custo. Provem da reação de condensação de epicloridrina e bisfenol A, podendo ser liquidas, semi-sólidas ou sólidas dependendo do seu peso molecular.

RESINAS EPÓXI FORMADAS A BASE DE BISFENOL F.
Neste composto há a substituição do bisfenol A por bisfenol F, que vai proporcionar à resina melhor entrecruzamento e melhor resistência mecânica, química e térmica, principalmente se sua cura for a base de aminas aromáticas ou anidridos.

RESINAS EPÓXI BROMADAS.
Formadas pela reação entre epicloridrina Y e Tetrabromobisfenol A, os quatro radicais ligados ao bromo, dão à resina a característica de auto-extinguível.

RESINAS EPÓXI FLEXÍVEIS.
Suas largas cadeias lineares substituindo o bisfenol por poliglicol de poucas ramificações permitem obter uma resina de baixa reatividade que normalmente são utilizadas como flexibilizantes reativos em outras resinas melhorando a resistência a impactos.

Propriedades Físico/Químicas
Diluentes
Permite abaixar a viscosidade da formulação, facilitando a aplicação e aumentando a capacidade para a adição de cargas inertes ou reativas. Os diluentes inertes ou não reativos, reduzem a viscosidade de forma significativa, uma vez que não se unem à cadeia, não participando da reação. Já os diluentes reativos, que são os mais utilizados, passam a fazer parte da cadeia, e automaticamente das reações.
Flexibilizadores ou flexibilizantes
Este fará com que o sistema reduza a rigidez, não permitindo a deformação através de cargas. A flexibilização poderá ser adquirida através da introdução longas cadeias covalentes durante o processo de cura, ou pela incorporação do polímero, a longas cadeias para permanecerem sem reagir com a resina utilizada.
Pigmentos
Seu único propósito é melhorar a aparência na aplicação, ou seja a cor, neste item pode-se usar diversos tipos de compostos inorgânicos, tais como oxido de carbono (Preto), Titânio (Branco), Oxido de ferro (Amarelo ou vermelho), anilinas, cromatos, corantes, azul e verde de ftalocianina. As modificações com outras resinas potencializa as possibilidades com as resinas epóxi, tais como poliéster ou acrílicas. Este processo todo é conhecido como cura, cross-link (Entrecruzamento) ou endurecimento.
Aplicação
O epóxi é um material de múltiplas aplicações em diversos setores industriais como domésticos, em especial na indústria da construção civil, pinturas, aeronáutica e química ,sendo eles:
| Indústria | Aplicações | |
|---|---|---|
| Indústria Química | Produção de tintas para revestimentos de tubos, manutenção industrial e de embalagens alimentícias, tintas em pó, produção de artigos esportivos, bijuterias e catalisadores. | |
| Indústria Elétrica e Tecnológica | Placas de circuito impresso (como a mainboard do computador), encapsulamentos de componentes eletrônicos, geradores eólicos, transformadores a seco e isoladores. | |
| Indústria Aeronáutica | Consumo de adesivos para colagem de metais (pela necessidade de resistência), utilização de laminados a base de epóxi, como material de matriz estrutural com o reforço de fibras de vidro, carbono e aramida (Kevlar). | |
| Indústria da Construção Civil | Reformas de parquetes, revestimento de concreto, metais, madeira em geral, de pisos industriais e decorativos, tambores e tanques com produtos químicos, recuperação estrutural, lábios poliméricos, reforço com fibra de carbono, chumbadores químicos, etc. | |
| Pintura de Pisos | Boa parte das quadras poliesportivas são pintadas com tinta epóxi, outro exemplo de pintura de piso é a demarcação de faixas nas estradas e sinalização de vagas para deficientes em estacionamentos e outros locais que necessita de pintura epóxi de alta resistência. | |
| Móveis e decoração | Mesas, cadeiras, bancadas, luminárias, e muitos outros tipos de móveis e artigos de decoração são produzidos ou acabados com resina epóxi devido a seu bom acabamento resistência e adesividade. | |
| Dados:[4][5][6] | ||
Também na biologia, o epóxi solúvel em água [7][8] são normalmente utilizados para microscópios eletrônicos para a observação de amostras no plástico para que eles possam ser selecionados (fatias finas) com um micrótomo. [9]
O que esse polímero tem a ver com você?
Uma das principais aplicações do poliepóxido no nosso cotidiano se dá com o chamado "piso epóxi". Existente e presente há décadas nos mais diversos ambientes de construção, o revestimento em questão é sinônimo de durabilidade e resistência, sendo utilizado em uma ampla gama de locais, como:
- Indústria em geral
- Quadras poliesportivas internas e externas
- Galpões
- Estacionamentos
- Hospitais
- Shoppings
- Salões
O epóxi é um piso monolítico, isto é, sem emendas, sem rejunte, porém com pouco brilho, mas por outro lado muito resistente e, quando aplicado corretamente na superfície, não desplaca, não racha e não trinca. Muito se confunde o piso epóxi com o chamado porcelanato líquido. O porcelanato líquido nada mais é do que o nome popular para o termo resina epóxi em uso decorativo. Este nome popular porcelanato líquido é tecnicamente errado, pois induz a uma similaridade ao porcelanato cerâmico, já que são produtos completamente diferentes na sua concepção e resultado final, sendo a única coisa em comum o brilho. A principal diferença entre os dois tipos de revestimento se dá na questão do acabamento final e do aspecto de brilho, conforme as imagens a seguir.

Tempo de Cura de Pisos Epóxi
Em geral, as resinas epóxi não curadas possuem apenas péssimas propriedades mecânicas, químicas e de resistência ao calor. No entanto, boas propriedades são obtidas pela reação da resina epóxi linear com aditivos adequados para formar estruturas termoendurecíveis reticuladas tridimensionais.
Esse processo é geralmente chamado de processo de cura ou gelificação. A cura de resinas epóxi é uma reação exotérmica e, em alguns casos, produz calor suficiente para causar degradação térmica se não for controlada.
A cura acontece reagindo um epóxi consigo mesmo (homopolimerização) ou formando um copolímero com curativos polifuncionais ou endurecedores.
Em princípio, qualquer molécula contendo um hidrogênio reativo pode reagir com os grupos epóxido da resina epóxi. Classes comuns de endurecedores para resinas epóxi incluem aminas, ácidos, anhídridos ácidos, fenóis, álcoois e tióis. A reatividade relativa (mais baixa primeiro) é aproximadamente da ordem: fenol <anidrido <amina aromática <amina cicloalifática <amina alifática <tiol.
Embora algumas combinações de resina epóxi / endurecedor curem à temperatura ambiente, muitas requerem calor, sendo comuns temperaturas de até 150 ° C (302 ° F) e até 200 ° C (392 ° F) para alguns sistemas especializados.
Calor insuficiente durante a cura resultará em uma rede com polimerização incompleta e, portanto, resistência mecânica, química e térmica reduzida. A temperatura de cura normalmente deve atingir a temperatura de transição vítrea (Tg) da rede totalmente curada para obter propriedades máximas. Às vezes, a temperatura é aumentada gradualmente para controlar a taxa de cura e evitar o acúmulo excessivo de calor pela reação exotérmica.
Endurecedores que mostram apenas baixa ou limitada reatividade à temperatura ambiente, mas que reagem com resinas epóxi a temperatura elevada são chamados endurecedores latentes.
Ao usar endurecedores latentes, a resina epóxi e o endurecedor podem ser misturados e armazenados por algum tempo antes do uso, o que é vantajoso para muitos processos industriais.
Os endurecedores muito latentes permitem a produção de produtos de um componente (1K), em que a resina e o endurecedor são fornecidos pré-misturados ao usuário final e requerem apenas calor para iniciar a cura. Os produtos de um componente geralmente têm vida útil mais curta do que os sistemas de dois componentes padrão, e os produtos podem exigir armazenamento e transporte refrigerados.
A reação de cura por epóxi pode ser acelerada pela adição de pequenas quantidades de aceleradores. Aminas terciárias, ácidos carboxílicos e álcoois (especialmente fenóis) são aceleradores eficazes. O bisfenol A é um acelerador altamente eficaz e amplamente utilizado, mas agora é cada vez mais substituído devido a problemas de saúde com esta substância.
Riscos a Saúde
O primeiro risco associado ao uso de epóxi está relacionado ao componente endurecedor e não à própria resina epóxi.
Os endurecedores de amina, em particular, são geralmente corrosivos, mas também podem ser classificados como tóxicos ou cancerígenos / mutagênicos.
As aminas aromáticas apresentam um risco específico à saúde (a maioria é conhecida ou suspeita de ser cancerígena), mas seu uso agora está restrito a aplicações industriais específicas, e geralmente são empregadas aminas alifáticas ou cicloalifáticas mais seguras.
As resinas epóxi líquidas em seu estado não curado são classificadas principalmente como irritantes para os olhos e pele, bem como tóxicas para organismos aquáticos. As resinas epóxi sólidas são geralmente mais seguras que as resinas epóxi líquidas e muitas são classificadas como materiais não perigosos.
Um risco específico associado às resinas epóxi é a sensibilização. Demonstrou-se que o risco é mais pronunciado em resinas epóxi contendo diluentes epóxi de baixo peso molecular. A exposição a resinas epóxi pode, com o tempo, induzir uma reação alérgica. A sensibilização geralmente ocorre devido à exposição repetida (por exemplo, por falta de higiene no trabalho ou falta de equipamento de proteção) por um longo período de tempo. Às vezes, a reação alérgica ocorre em um momento que demora vários dias a partir da exposição.
A reação alérgica é frequentemente visível na forma de dermatite, particularmente em áreas onde a exposição tem sido mais alta (geralmente mãos e antebraços).
O uso de epóxi é a principal fonte de asma ocupacional entre os usuários de plásticos. O bisfenol A, usado para fabricar uma classe comum de resinas epóxi, é um desregulador endócrino conhecido.
Referências
- ↑ «Handbook of Epoxy Resins»
- ↑ «Resinas Epóxi.»
- ↑ «Epoxy Resins:Chemistry and Technology»
- ↑ a b Vários Autores, Escrito o Capítulo Epoxies (EP) por Calhleen A. Jonhson e Gleen Hilton, Engeeering Plastics, Volume 2,Editora ASM Internacional,1987,Páginas 240-241.
- ↑ D.C. Miles e J.H. Briston,Tradução Caetano Belliboni, Tecnologia dos Polímeros, Editora Polígono, São Paulo, SP, 1° Edição, 1975, Páginas 121-125.
- ↑ Sikarwar, Rahul S.; Raman Velmurugan, Velmuri Madhu (2012). «Experimental and analytical study of high velocity impact on Kevlar/Epoxy composite plates». Central European Journal of Engineering. 2 (4): 638–649. doi:10.2478/s13531-012-0029-x. Consultado em 2 de abril de 2013
- ↑ Stäubli, W. (1963). «A new embedding technique for electron microscopy, combining a water-soluble epoxy resin (Durcupan) with water-insoluble Araldite» (PDF). Rockefeller Univ Press. The Journal of Cell Biology. 16 (1). 197 páginas. doi:10.1083/jcb.16.1.197
- ↑ Kushida, H. (1963). «A Modification of the Water-miscible Epoxy Resin "Durcupan" Embedding Method for Ultrathin Sectioning». Japan Society Microscopy. Journal of Electron Microscopy. 12 (1). 72 páginas
- ↑ Luft, J.H. (1961). «Improvements in epoxy resin embedding methods» (PDF). Rockefeller Univ Press. The Journal of biophysical and biochemical cytology. 9 (2). 409 páginas. doi:10.1083/jcb.9.2.409