Dietilditiocarbamato de telúrio
Dietilditiocarbamato de telúrio
| |||||||||||||||||
|---|---|---|---|---|---|---|---|---|---|---|---|---|---|---|---|---|---|
![]() | |||||||||||||||||
![]() | |||||||||||||||||
| Nomes | |||||||||||||||||
| Nome IUPAC | [tris(dietilcarbamotioilsulfanil)-λ4-telanil] N,N-dietilcarbamoditioato[1] | ||||||||||||||||
| Outros nomes | Sal de telúrio do ácido dietilditiocarbâmico Etil telurac Etil telúraco[1] TDEC | ||||||||||||||||
| |||||||||||||||||
| |||||||||||||||||
| Página de dados suplementares | |||||||||||||||||
| Estrutura e propriedades | n, εr, etc. | ||||||||||||||||
| Dados termodinâmicos | Phase behaviour Solid, liquid, gas | ||||||||||||||||
| Dados espectrais | UV, IV, RMN, EM | ||||||||||||||||
| Exceto onde denotado, os dados referem-se a materiais sob condições normais de temperatura e pressão. Referências e avisos gerais sobre esta caixa. Alerta sobre risco à saúde. | |||||||||||||||||
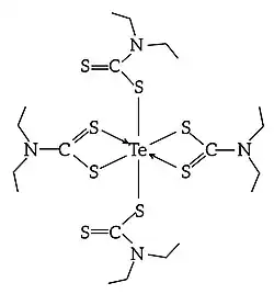
Dietil ditiocarbamato de telúrio (TDEC), também conhecido como etil telurac ou etil telúraco,[1] é um composto químico à base de telúrio com a fórmula química Te((C
2H
5)
2NCS
2)
4. É utilizado na indústria da borracha como acelerador do processo de vulcanização.[3] É um sólido amarelo brilhante a amarelo alaranjado, disponibilizado como pó.[4] Quimicamente, é um complexo de tiocarbamato do telúrio no estado de oxidação +4. Sua principal aplicação é na produção de artefatos de borracha com alto módulo, especialmente aqueles fabricados com borracha IIR (borracha butílica).[3]
Síntese
Um modo de síntese do TDEC relatado na literatura científica consiste em dissolver dióxido de telúrio em solução de hidróxido de sódio a um pH de 12, adicionar à solução resultante o sal dietilditiocarbamato de sódio e em seguida tratar a mistura com ácido clorídrico até ocorrer a precipitação do sólido amarelo de TDEC, que ocorre em um pH entre 7 e 10.[5]
TeO
2 + 2NaOH → Na
2TeO
3 + H
2O
Na
2TeO
3 + 4NaS
2C-N(C
2H
5)
2 + 6HCl → Te(S
2CN(C
2H
5)
2)
4 + 3H
2O + 6NaCl
Estrutura
O dietilditiocarbamato de telúrio IV é um complexo de carga neutra formado por um átomo de telúrio ligado covalentemente a quatro grupos dietil ditiocarbamato. O átomo de telúrio está ligado aos átomos de enxofre. Evidências espectroscópicas mostram que dois dos grupos dietil ditiocarbamato ligados ao Te central são monodentados, e os outros dois são bidentados. Assim, o telúrio nesse complexo está em um ambiente octaédrico distorcido.[6]
Aplicações e Usos
O etil telúraco é um poderoso acelerador do processo de cura para borracha natural e a maioria dos elastômeros sintéticos, como borracha de estireno-butadieno, borracha de nitrila-butadieno e monômero de etileno-propileno-dieno. TDEC é utilizado em diversas aplicações na indústria da borracha, incluindo:[3][7]
- Na fabricação de câmaras de ar para pneus e câmaras de ar macias.
- No isolamento de camadas de fios e cabos.
- Na produção de esponjas de borracha EPDM extrudadas para portas de automóveis, onde é desejada uma cura rápida parcial antes da expansão da borracha.
- Outros produtos: Em vedações para veículos e edifícios, mangueiras (veículos, vapor, ácido), revestimentos de cabos e produtos isolados.
Funções e Vantagens
O TDEC atua como um acelerador ultrarrápido de vulcanizaçãopara compostos de borracha natural e borracha sintética, incluindo borracha natural (NR), borracha de estireno-butadieno (SBR), borracha nitrílica (NBR) e borracha EPDM. Pode ser utilizado como ativador para aceleradores de tiazol e thiuram. Esse material é compatível com borrachas NBR, SBR, AR e ECO. O TDEC Permite uma vulcanização rápida, não mancha e não descolore.[3]
Dosagem
A dosagem recomendada de TDEC em pó oleoso é de 0,1% a 2,0%. Em esponjas EPDM, o nível de uso típico é de 0,3 partes. Níveis mais altos podem resultar em boa compressão, mas podem ocorrer "blooming" (migração do acelerador para a superfície da borracha).[3]
Precauções
Como todos os os compostos de telúrio, TDEC é tóxico. Absorção pela pele, inalação ou ingestão causa sintomas tais como dor de cabeça, tontura, vômito, náusea, sonolência, boca seca, gosto metálico na boca, hálito de alho e o característico odor corporal fétido e persistente associado aos compostos de telúrio.[8]
A queima de materiais contendo TDEC libera gases tóxicos e poluentes, incluindo óxidos de enxofre e nitrogênio, bem como compostos de telúrio prejudiciais à saúde e ao meio ambiente. Deve-se, portanto, evitar a inalação de fumaça proveniente da queima de borracha.[3]
O descarte de produtos contendo TDEC deve ser feito de forma adequada, seguindo as regulamentações locais.[3]
Nota
Este verbete fornece informações básicas sobre o dietilditiocarbamato de telúrio (TDEC). Para informações mais detalhadas, consulte fontes especializadas em química e indústria da borracha.
Referências
- ↑ a b c d «CAS 20941-65-5 Tellurium IV diethyldithiocarbamate». www.bocsci.com (em inglês). Consultado em 30 de janeiro de 2025
- ↑ a b https://www.gelest.com/wp-content/uploads/product_msds/AKT818.8-msds.pdf
- ↑ a b c d e f g «TELLURIUM DIETHYLDITHIOCARBAMATE |». atamankimya.com. Consultado em 30 de janeiro de 2025
- ↑ «Tellurium diethyldithiocarbamate powder: Vital Materials». en.vitalchem.com. Consultado em 30 de janeiro de 2025
- ↑ https://eureka.patsnap.com/patent-CN104447456A
- ↑ Nikolov, G. St.; Jordanov, N.; Havezov, I. (1 de abril de 1971). «Diethyldithiocarbamate complexes of tellurium(II) and tellurium(IV)». Journal of Inorganic and Nuclear Chemistry (4): 1055–1058. ISSN 0022-1902. doi:10.1016/0022-1902(71)80174-4. Consultado em 30 de janeiro de 2025
- ↑ «Tellurium diethyldithiocarbamate powder: Vital Materials». en.vitalchem.com. Consultado em 30 de janeiro de 2025
- ↑ «Tellurium - Element information, properties and uses | Periodic Table». www.rsc.org. Consultado em 30 de janeiro de 2025

