Dendrograma

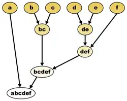
Um Dendrograma (dendro = árvore) é um tipo específico de diagrama ou representação icónica que organiza determinados fatores e variáveis. Resulta de uma análise estatística de determinados dados, em que se emprega um método quantitativo que leva a agrupamentos e à sua ordenação hierárquica ascendente - o que em termos gráficos se assemelha aos ramos de uma árvore que se vão dividindo noutros sucessivamente. Isto é, ilustra o arranjo de agrupamentos derivado da aplicação de um "algoritmo de clustering" (ver Análise de agrupamentos).
Um exemplo muito usado, em biologia computacional, é o do tipo específico de cladograma que mostra relações evolutivas entre diferentes clados biológicos (árvore filogenética), após a análise estatística dos dados genéticos.