Condroitina

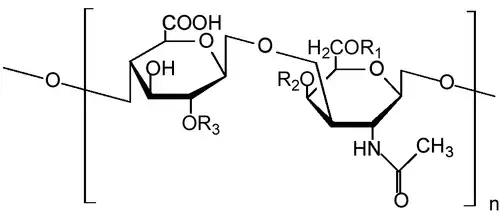
A condroitina é um polissacarídeo glicosaminoglicano, constituinte da condrina,[1] que constitui a cartilagem e outros tecidos conjutivos em animais,[2][3] fornecendo muito da sua resistência à compressão.[4] Também serve como condroprotetor, ou seja, protege as cartilagens do desgaste, por meio da inibição da ação de enzimas que degradariam esta.[5] Esse tipo de glicosaminoglicano é formado por resíduos de N-acetil-D-galactosamina conectados através de ligações glicosídicas β(1→3).[2] Além disso, a condroitina pode ser do tipo condrotina-4-sulfato ou condroitina-6-sulfato.[3]
A condroitina-4-sulfato possui um grupo sulfato (OSO3-) no carbono 4 em seus resíduos de N-acetil-D-galactosamina.[3] Já a condroitina-6-sulfato possui o grupamento sulfato no carbono 6 de seus resíduos. Nos tecidos, os dois tipos de condroitina podem ser encontrados em conjunto ou separadamente.[3]
Uso medicinal
Condroitina é comumente usada como suplemento alimentar, pela medicina alternativa para tratar a osteoartrite, e também aprovada e regulada como uma droga sintomática de atuamento lento na Europa e alguns outros países.[6][7] Ela é comumente vendida juntamente com glucosamina. Condroitina e glucosamina são também usadas na medicina veterinária.[8] No entanto, um estudo da Colaboração Cochrane de 2015, onde se efetuou a revisão de testes clínicos, mostrou que a maioria destes era de baixa qualidade, mas que havia alguma evidência quanto à melhora no curto prazo da dor e alguns efeitos colaterais; apesar disso, não é aparente que ela melhore ou mantenha a saúde das juntas afetadas.[9]
Condroitina, juntamente com a glucosamina comumente usada, não deve ser usada para tratar pacientes que possuem osteoartrite sintomática do joelho, já que as evidências demonstram que esses tratamentos falham em fornecer alívio para esta condição.[10]
Histórico
Condroitina foi originalmente isolado juntamente com sulfatos, muito antes da caracterização da estrutura, levando a mudanças na terminologia.[11] Pesquisadores iniciais identificaram diferentes frações da substância com letras.
| Identificação por letras | Local da sulfatação | Nome sistemático |
| Sulfato de Condroitina A | carbono 4 do açúcar N-acetilgalactosamina (GalNAc) | condroitina-4-sulfato |
| Sulfato de Condroitina C | carbono 6 do açúcar GalNAc | condroitina-6-sulfato |
| Sulfato de Condroitina D | carbono 2 do ácido glucurônico e 6 do açúcar GalNAc | condroitina-2,6-sulfato |
| Sulfato de Condroitina E | carbonos 4 e 6 do açúcar GalNAc | condroitina-4,6-sulfato |
"Sulfato de condroitina B" é um nome antigo para o sulfato de dermatan, e não é mais classificado como uma forma de sulfato de condroitina.[12]
Condroitina, sem o "sulfato", tem sido usado para descrever frações com pouca ou nenhuma sulfatação.[13] No entanto, essa distinção não é usada por todos.
Ainda que o nome "sulfato de condroitina" sugira um sal com um contra-ânion sulfato, esse não é o caso, já que o sulfato está ligado de forma covalente ao açúcar. Ainda, já que a molécula tem múltiplas cargas negaticas no pH fisiológico, um cátion está presente nos sais do sulfato de condroitina. As preparações comerciais do sulfato de condroitina tipicamente são geitas com o sal sódio. Barnhill et al. sugere que todas essas preparações do sulfato de condroitina sejam referidas como "condroitina de sódio", independentemente do seu estado de sulfatação.[14]
Referências
- ↑ MeSH Chondroitin
- ↑ a b Bunhak, Élcio José; Mendes, Elisabete Scolin; Pereira, Nehemias Curvelo; Cavalcanti, Osvaldo Albuquerque (31 de outubro de 2006). «Influência do sulfato de condroitina na formação de filmes isolados de polimetacrilato: avaliação do índice de intumescimento e permeabilidade ao vapor d'água» (PDF). Química Nova. 30 (2): 312-317. doi:10.1590/S0100-40422007000200014. Consultado em 31 de maio de 2018
- ↑ a b c d Voet, Donald; Voet, Judith G. (2013). Bioquímica. Porto Alegre: Artmed. p. 371-372. 1512 páginas. ISBN 9788582710050. Consultado em 31 de maio de 2018
- ↑ Baeurle SA, Kiselev MG, Makarova ES, Nogovitsin EA (2009). «Effect of the counterion behavior on the frictional–compressive properties of chondroitin sulfate solutions». Polymer. 50 (7): 1805–1813. doi:10.1016/j.polymer.2009.01.066
- ↑ Biasi, F.; Rahal, S. C.; Volpi, R. S.; Sequeira, J. L. (2005). «Reconstrução do ligamento cruzado cranial em cães, associado ou não ao sulfato de condroitina». Arquivo Brasileiro de Medicina Veterinária e Zootecnia. 57 (4): 442-447. doi:10.1590/S0102-09352005000400004. Consultado em 31 de maio de 2018
- ↑ Jordan KM; Recommendations Arden NK. EULAR (2003). «an evidence based approach to the management of knee osteoarthritis: Report of a Task Force of the Standing Committee for International Clinical Studies Including Therapeutic Trials (ESCISIT)». Ann Rheum Dis. 62 (12): 1145–1155. PMC 1754382
. PMID 14644851. doi:10.1136/ard.2003.011742
- ↑ Clegg, Daniel O.; Reda, Domenic J.; Harris, Crystal L.; Klein, Marguerite A.; O'Dell, James R.; Hooper, Michele M.; Bradley, John D.; Bingham, Clifton O.; Weisman, Michael H.; Jackson, Christopher G.; Lane, Nancy E.; Cush, John J.; Moreland, Larry W.; Schumacher, H. Ralph; Oddis, Chester V.; Wolfe, Frederick; Molitor, Jerry A.; Yocum, David E.; Schnitzer, Thomas J.; Furst, Daniel E.; Sawitzke, Allen D.; Shi, Helen; Brandt, Kenneth D.; Moskowitz, Roland W.; Williams, H. James (23 de fevereiro de 2006). «Glucosamine, Chondroitin Sulfate, and the Two in Combination for Painful Knee Osteoarthritis». New England Journal of Medicine. 354 (8): 795–808. PMID 16495392. doi:10.1056/NEJMoa052771. Consultado em 1 de março de 2015
- ↑ Forsyth R, Brigden C, Northrop A (2006). «Double blind investigation of the effects of oral supplementation of combined glucosamine hydrochloride (GHCL) and chondroitin sulfate (CS) on stride characteristics of veteran horses». Equine veterinary journal. Supplement. 38 (36): 622–5. PMID 17402494. doi:10.1111/j.2042-3306.2006.tb05615.x
- ↑ Singh, JA; Noorbaloochi, S; MacDonald, R; Maxwell, LJ (28 de janeiro de 2015). «Chondroitin for osteoarthritis.». The Cochrane Database of Systematic Reviews. 1: CD005614. PMC 4881293
. PMID 25629804. doi:10.1002/14651858.CD005614.pub2
- ↑ American Academy of Orthopaedic Surgeons (fevereiro de 2013), «Five Things Physicians and Patients Should Question», American Academy of Orthopaedic Surgeons, Choosing Wisely: an initiative of the ABIM Foundation, consultado em 19 de maio de 2013, que cita
- Jevsevar, DS; Brown, GA; Jones, DL; Matzkin, EG; Manner, PA; Mooar, P; Schousboe, JT; Stovitz, S; Sanders, JO; Bozic, KJ; Goldberg, MJ; Martin WR, 3rd; Cummins, DS; Donnelly, P; Woznica, A; Gross, L; American Academy of Orthopaedic Surgeons (16 de outubro de 2013). «The American Academy of Orthopaedic Surgeons evidence-based guideline on: treatment of osteoarthritis of the knee, 2nd edition.». The Journal of Bone and Joint Surgery. American Volume. 95 (20): 1885–6. PMID 24288804
- Clegg, Daniel O.; Reda, Domenic J.; Harris, Crystal L.; Klein, Marguerite A.; O'Dell, James R.; Hooper, Michele M.; Bradley, John D.; Bingham, Clifton O.; Weisman, Michael H.; Jackson, Christopher G.; Lane, Nancy E.; Cush, John J.; Moreland, Larry W.; Schumacher, H. Ralph; Oddis, Chester V.; Wolfe, Frederick; Molitor, Jerry A.; Yocum, David E.; Schnitzer, Thomas J.; Furst, Daniel E.; Sawitzke, Allen D.; Shi, Helen; Brandt, Kenneth D.; Moskowitz, Roland W.; Williams, H. James (23 de fevereiro de 2006). «Glucosamine, Chondroitin Sulfate, and the Two in Combination for Painful Knee Osteoarthritis». New England Journal of Medicine. 354 (8): 795–808. PMID 16495392. doi:10.1056/NEJMoa052771
- Richmond, J; Hunter, D; Irrgang, J; Jones, MH; Levy, B; Marx, R; Snyder-Mackler, L; Watters WC, 3rd; Haralson RH, 3rd; Turkelson, CM; Wies, JL; Boyer, KM; Anderson, S; St Andre, J; Sluka, P; McGowan, R; American Academy of Orthopaedic Surgeons (setembro de 2009). «Treatment of osteoarthritis of the knee (nonarthroplasty).». The Journal of the American Academy of Orthopaedic Surgeons. 17 (9): 591–600. PMC 3170838
. PMID 19726743
- ↑ P. A. Levene; F. B. La Forge (1913). «On Chondroitin Sulphuric Acid». J. Biol. Chem. 15: 69–79 PDF gratuito online
- ↑ MeSH Chondroitin+sulfates
- ↑ Davidson EA, Meyer K (1954). «Chondroitin, a new mucopolysaccharide». J Biol Chem. 211 (2): 605–11. PMID 13221568 Free PDF online
- ↑ Barnhill JG, Fye CL, Williams DW, Reda DJ, Harris CL, Clegg DO (2006). «Chondroitin product selection for the glucosamine/chondroitin arthritis intervention trial». J Am Pharm Assoc (Wash DC). 46 (1): 14–24. PMID 16529337. doi:10.1331/154434506775268616