Bremelanotida
Bremelanotida
| |
![]() | |
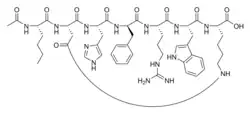
Nome IUPAC (sistemática)
| |
| (3R,6R,9S,12R,15R,23R)-15-{[(2R)-2-
Acetamidohexanoyl]amino}-9-benzyl- 6-(3-carbamimidamidopropyl)-12- (1H-imidazol-5-ylmethyl)-3-(1H-indol- 3-ylmethyl)-2,5,8,11,14,17-hexaoxo- 1,4,7,10,13,18-hexaazacyclotricosane -23-carboxylic acid | |
Identificadores
| |
| 189691-06-3 | |
Informação química
| |
Farmacocinética
| |
Considerações terapêuticas
| |
Bremelanotida, também conhecido pelo nome comercial Vyleesi, é um fármaco utilizado pela medicina principalmente como estimulante sexual feminino. É um afrodisíaco sintético atuando no sistema nervoso central.
Histórico
A intenção do desenvolvimento do bremelanotide era como agente de bronzeamento solar e na prevenção de câncer de pele. Nos estudos com animais observou-se a tendência de ereções nos animais. Este evento, motivou a empresa Palatin Technologies, de Nova Jersey, a investir no seu possível uso no tratamento de disfunções sexuais.
Estudos feitos em ratos mostaram droga instiga a excitação sexual nas fêmeas.
