Amortecimento de Coulomb
Amortecimento constante ou de Coulomb é o que ocorre quando o atrito é seco, isto é, quando atritam entre si dois sólidos sem lubrificação.
Definição

Nas estruturas usuais, em muitos casos, a maior dissipação de energia ocorre nas juntas e conexões estruturais. Essa dissipação ocorre devido ao escorregamento entre superfícies vizinhas e depende apenas da força normal que existe na interface e do coeficiente de atrito entre as superfícies. Para esse caso, o amortecimento de Coulomb ou atrito de Coulomb, proporciona um mecanismo para dissipação de energia sob um deslocamento cisalhante cíclico, ou seja, para cada ciclo de deslocamento há uma perda constante de energia, independentemente da velocidade com a qual este deslocamento se realiza (Lazan,1960). A força de amortecimento produzida por este tipo de mecanismo sempre se opõe ao movimento, ou seja, o sentido do vetor força é sempre oposto ao do vetor velocidade, e é dada por
𝐹 = 𝜇𝑁
onde µ é o coeficiente de atrito entre as superfícies e N é a força normal existente entre elas.
Para o caso de uma vibração livre, utilizando o modelo do amortecimento de Coulomb, observa-se que a amplitude decai linearmente com o tempo:

Vê-se que esse é um mecanismo de amortecimento muito eficaz, que acarreta, porém, vários problemas para a vida da estrutura. Os efeitos de corrosão e deterioração na região onde ocorre o escorregamento, adicionados aos problemas de fadiga do material quando a estrutura trabalha próxima da ressonância, são fatores que devem ser muito bem estudados e mitigados através de soluções construtivas adequadas.
Características
Características de um sistema com amortecimento Coulomb:
- A equação de movimento é não-linear com atrito de Coulomb, enquanto é linear com amortecimento viscoso;
- A frequência natural do sistema permanece inalterada com o atrito de Coulomb, e é reduzida na presença do amortecimento viscoso;
- O movimento é periódico com o atrito de Coulomb, e não necessariamente será com amortecimento viscoso (criticamente e superamortecido);
- O sistema para depois de um tempo, enquanto que o movimento teoricamente persiste na presença do amortecimento viscoso;
- A amplitude de oscilação reduz linearmente com o amortecimento de Coulomb, enquanto reduz-se exponencialmente com amortecimento viscoso;
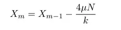
- A cada ciclo sucessivo, a amplitude do movimento é reduzida pela quantidade de 4μN/k, de forme que a amplitude no final de cada ciclo consecutivo é dada por:

Veja também
Referências
- Ginsberg, Jerry (2001). Mechanical and Structural Vibrations: Theory and Applications 1st ed. [S.l.]: John Wiley & Sons, Inc. ISBN 0-471-37084-3
- Inman, Daniel (2001). Engineering Vibration 2nd ed. [S.l.]: Prentice Hall. ISBN 0-13-726142-X
- Walshaw, A.C. (1984). Mechanical Vibrations with Applications 1st ed. [S.l.]: Ellis Horwood Limited. ISBN 0-85312-593-7
- RAO, Singiresu (2009). Vibrações Mecânicas
- Morse, and Hinkle (1978). Mechanical Vibrations: Theory and Applications.