Bioquímica/Polissacarídeos
Polissacarídeos
Os polissacarídeos são polímeros longos constituídos por monossacarídeos. Enquanto que mono e oligossacarídeos são usados no metabolismo energético, os polissacarídeos estão envolvidos não só no metabolismo energético como também na construção de estruturas celulares. Os açúcares simples têm uma disponibilidade imediata para suprir déficits energéticos num organismo; em contraste, os polissacarídeos são reservas de energia, em que a sua hidrólise é necessária para haver disponibilidade de açúcares no metabolismo.
Quanto à sua constituição química, os polissacarídeos podem ser divididos em homopolissacarídeos (constituídos por um só tipo de monômero) e heteropolissacarídeos (constituídos por diferentes tipos de monômeros).
Celulose

A celulose, conhecida vulgarmente por fibra, encontra-se apenas em plantas, sendo um constituinte das paredes celulares. É um homopolissacarídeo de β-glicose, o que lhe confere uma estrutura mais rígida que ligações entre α-glicose. Os mamíferos são incapazes de digerir a celulose mas esta é uma importante parte da dieta humana, ao ajudar à limpeza do tracto intestinal.
Amido


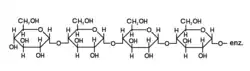
O amido é a reserva energética das plantas. É um homopolissacarídeo formado por α-glicose. Encontra-se em duas formas: amilose e amilopectina.
Glicogênio
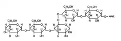
O glicogênio é um homopolissacarídeo ramificado, constituído por glicose, sendo a principal reserva energética em animais. Os humanos têm a capacidade de armazenar pequenas quantidades de glicogênio no fígado e nos músculos. É sintetizado quando os níveis de glicose no sangue são altos; essa síntese é estimulada pela insulina, produzida no pâncreas.
|
Esta página é um esboço de química. Ampliando-a você ajudará a melhorar o Wikilivros. |